阿摩線上測驗
登入
首頁
>
有機化學
> 104年 - 104 關務特種考試_三等_化學工程:有機化學#41648
104年 - 104 關務特種考試_三等_化學工程:有機化學#41648
科目:
有機化學 |
年份:
104年 |
選擇題數:
0 |
申論題數:
32
試卷資訊
所屬科目:
有機化學
選擇題 (0)
申論題 (32)
1.請寫出 pH 值小於 1 時的主要構造式。
2.請寫出 pH 值大於 13 時的主要構造式。
1.請寫出薁的分子結構。
2.請說明為何薁的偶極矩(1.08D)大於萘。
⑶雙環[4.4.0]癸烷又稱十氫萘,有順型及反型異構物,請以椅形(chair form)分別寫 出立體結構,並指出那一結構比較穩定。
⑷氰酸銨[NH4 + (NCO)-]為一無機鹽,經加熱可產生一有機化合物,請寫出此有機化 合物的結構。
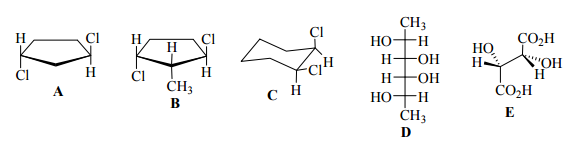
【已刪除】⑸下列化合物結構 A~E,請選出不是內消旋型的結構。
【已刪除】二、方酸(I)的酸性比一般的醇類強,兩個 pKa 值分別為 1.7 和 3.2,請依結構(I)說明理由。 (10 分)
【已刪除】
A
B
C
D
【已刪除】 (1)
【已刪除】 (2)
【已刪除】 (3)
【已刪除】 (4)
【已刪除】 (5)
【已刪除】 (6)
【已刪除】 (7)
【已刪除】 (8)
【已刪除】(9)
【已刪除】 (10)
【已刪除】(11)
【已刪除】 (12)
【已刪除】 (13)
【已刪除】 (14)
【已刪除】 (15)
⑴C
4
H
8
O
3
:
1
H-NMR δ 1.27(triplet, 3H), 3.66(quartet, 2H), 4.13(singlet, 2H), 10.95(singlet, 1H); IR 2500-3000 cm
-1
(寬峰), 1715 cm
-1
.
⑵C
4
H
6
Cl
4
:
1
H-NMR δ 3.9(doublet, 4H), 5.6(triplet, 2H).
【已刪除】六、寫出下列反應的反應機構。(10 分)
【已刪除】七、寫出下列合成流程圖內產物 A 至 E 的分子結構式。(10 分)
相關試卷
115年 - 115 關務特種考試_三等_化學工程(選試英文):有機化學#138982
115年 · #138982
115年 - 115 關務特種考試_四等_化學工程(選試英文):有機化學概要#138903
115年 · #138903
114年 - 114 公務升官等考試_薦任_化學工程:有機化學#133257
114年 · #133257
114年 - 114 調查特種考試_三等_化學鑑識組、醫學鑑識組:有機化學#129586
114年 · #129586
114年 - 114 一般警察特種考試_二等_刑事鑑識人員材料及化學物品鑑析組:有機化學#127790
114年 · #127790
114年 - 114 關務特種考試_三等_化學工程(選試英文):有機化學#126661
114年 · #126661
114年 - 114 關務特種考試_四等_化學工程(選試英文):有機化學概要#126655
114年 · #126655
113年 - 113 調查特種考試_三等_化學鑑識組、醫學鑑識組:有機化學#122084
113年 · #122084
113年 - 113 關務特種考試_三等_化學工程(選試英文):有機化學#119488
113年 · #119488
113年 - 113 關務特種考試_四等_化學工程(選試英文)、化學工程(選試日文):有機化學概要#119484
113年 · #119484