阿摩線上測驗
登入
首頁
>
有機化學
> 104年 - 104 關務特種考試_四等_化學工程:有機化學概要#41802
104年 - 104 關務特種考試_四等_化學工程:有機化學概要#41802
科目:
有機化學 |
年份:
104年 |
選擇題數:
0 |
申論題數:
28
試卷資訊
所屬科目:
有機化學
選擇題 (0)
申論題 (28)
【已刪除】 ⑴與順丁烯二酸酐的反應活性大小。
【已刪除】 ⑵官能基在紅外線光譜吸收的波數大小。
【已刪除】 ⑶在水溶液的酸性大小。
【已刪除】 ⑷陰離子的鹼性大小。
【已刪除】 ⑸陽離子的穩定大小。
【已刪除】 ⑴
【已刪除】 ⑵
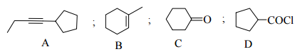
【已刪除】 ⑴不需使用詳細化學位移數據,如何利用
13
C 和
1
H 的核磁共振光譜區分下列異構物 A~C。(5 分)
【已刪除】 ⑵下列結構內的亞甲基(-CH
2
-),在氫核磁共振光譜的化學位移數據異於一般烯丙 基氫(allylic hydrogens)的化學位移,請問此亞甲基的化學位移往高磁場或低磁場 移動?(2 分)說明你的理由。(3 分)
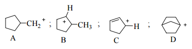
⑴以 2,2,5,5-四甲基己烷的第 3 和第 4 號碳鍵,寫出最穩定的 Newman 投影。
⑵寫出(E)-2-溴-1-氯-丁-1-烯的結構式。
⑶寫出 1,3,6-三氯庚烯的結構式。
【已刪除】 ⑷寫出薄荷腦(Menthol)結構式最穩定的構形(Conformation)。
⑸對乙醯氨基酚是一種常用的退熱和止痛藥物,請寫出結構式。
【已刪除】五、請說明下列鹵烷在所示條件下無法進行取代或消去反應。(5 分)
【已刪除】六、下列三種內酯 A,B,C 的紅外線光譜,在 C=O 鍵的振動吸收信號皆不相同,請依吸收 的波數大小排列,並說明你的理由。(10 分)
【已刪除】七、溴在四氯化碳溶液顏色的消失,常使用於檢測烯類是否存在,下列四種烯 A~D,請 依化學活性由大至小排列,例如甲>乙>丙>丁,表示丁在溴溶液活性最小。(5 分) 並且說明你排列的理由。(5 分)
【已刪除】⑴
【已刪除】 ⑵
【已刪除】 ⑶
【已刪除】 ⑷
【已刪除】 ⑸
【已刪除】 ⑹
【已刪除】 ⑺
【已刪除】 ⑻ ?
【已刪除】 ⑼
【已刪除】 ⑽
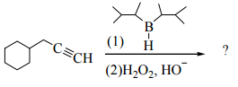
【已刪除】九、寫出下列反應的反應機構。(10 分)
相關試卷
115年 - 115 關務特種考試_三等_化學工程(選試英文):有機化學#138982
115年 · #138982
115年 - 115 關務特種考試_四等_化學工程(選試英文):有機化學概要#138903
115年 · #138903
114年 - 114 公務升官等考試_薦任_化學工程:有機化學#133257
114年 · #133257
114年 - 114 調查特種考試_三等_化學鑑識組、醫學鑑識組:有機化學#129586
114年 · #129586
114年 - 114 一般警察特種考試_二等_刑事鑑識人員材料及化學物品鑑析組:有機化學#127790
114年 · #127790
114年 - 114 關務特種考試_三等_化學工程(選試英文):有機化學#126661
114年 · #126661
114年 - 114 關務特種考試_四等_化學工程(選試英文):有機化學概要#126655
114年 · #126655
113年 - 113 調查特種考試_三等_化學鑑識組、醫學鑑識組:有機化學#122084
113年 · #122084
113年 - 113 關務特種考試_三等_化學工程(選試英文):有機化學#119488
113年 · #119488
113年 - 113 關務特種考試_四等_化學工程(選試英文)、化學工程(選試日文):有機化學概要#119484
113年 · #119484