阿摩線上測驗
登入
首頁
>
核工原理
> 104年 - 104 高等考試_二級_核子工程:核工原理研究#39560
104年 - 104 高等考試_二級_核子工程:核工原理研究#39560
科目:
核工原理 |
年份:
104年 |
選擇題數:
0 |
申論題數:
12
試卷資訊
所屬科目:
核工原理
選擇題 (0)
申論題 (12)
⑴請繪出
235
U 的分裂作用截面(fission cross section)與中子能量的變化圖(中子能 量由 0.001 eV 至 10 MeV)。(5 分)
⑵如η 定義為核燃料每吸收 1 個中子後所釋放的中子數目,請繪出
235
U 的η 值與中 子能量的變化圖。(5 分)
⑶請由前 2 圖敘述 Thermal reactor 與 Fast reactor 在設計上的特性。(10 分)
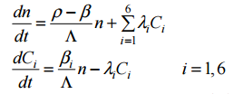
【已刪除】二、求解六延遲中子群點中子動態方程式:
可得到反應度與週期之關係為:
其中 n = 中子數密度( n / cm
3
); Λ = 瞬發中子產生時間(sec); β
i
= 第 i 群延遲中子分率; 6 β =
C
i
= 第 i 群延遲中子母核數目密度( nuclei / cm
3
); λ
i
= 第 i 群延遲中子母核衰變常數(sec
−1
); ρ = 反應度; T
P
= 反應器週期(sec)。 延遲中子母核衰變常數及延遲中子分率如下表:
已知反應器穩態運轉於熱中子通量 10
14
n /(cm
2
− sec) ,於 t = 0 秒時發生汽機跳脫造 成反應器急停,請利用上述反應度與週期之關係,估算中子通量由10
14
n /(cm
2
− sec ) 降至10
3
n /(cm
2
− sec ) 所需時間。(15 分)
⑴考慮含鈾燃料及緩和劑之異質及均質兩個反應器系統,請分別寫出熱利用因子 (thermal utilization factor)之計算式,並定義各項參數。(10 分)
⑵請利用此二計算式解釋在同樣組成下(即兩系統有相同鈾燃料原子數與相同緩和 劑原子數),異質反應器系統之熱利用因子較均質反應器小。(10 分)
⑴反應器冷卻水運轉壓力提高。
⑵反應器冷卻水運轉溫度提高。
⑶反應器冷卻水硼酸濃度提高。
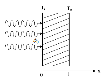
【已刪除】五、如下圖所示,以平板近似厚度為 t (cm) 之反應爐壓力槽壁,入射至壓力槽內壁加馬 射線通量為φ 0 ( photons /(cm
2
− sec ) ),能量為 E (MeV),對應此能量之槽壁線性衰減 係數為 μ (cm
−1
) ,能量吸收係數為 μe (cm
−1
) ,能量吸收增建因子為 B ( μx ) = 1 + μx , 已知槽壁材料之導熱率為 κ ( w /( m ⋅ k )) ,內壁溫度為 T
i
(℃),外壁溫度為 T
o
(℃),請 寫出用於求解壓力槽壁 x 方向溫度分布之一維穩態熱導方程式,列出邊界條件並確 認單位一致(不必解出)。(15 分)
⑴請繪出沸騰曲線圖(boiling curve),並標示各區域的熱傳特性。(10 分)
⑵以沸騰曲線圖說明臨界熱通率(critical heat flux)對於核燃料安全的重要性。(5 分)
相關試卷
111年 - 111 高等考試_三級_核子工程:核工原理#109428
111年 · #109428
110年 - 110 高等考試_二級_核子工程:核工原理研究#101873
110年 · #101873
108年 - 108 高等考試_三級_核子工程:核工原理#77886
108年 · #77886
107年 - 107 高等考試_三級_核子工程:核工原理#70931
107年 · #70931
106年 - 106 高等考試_三級_核子工程:核工原理#63440
106年 · #63440
105年 - 105 高等考試_三級_核子工程:核工原理#54439
105年 · #54439
104年 - 104 高等考試_三級_核子工程:核工原理#39555
104年 · #39555
103年 - 103 高等考試_三級_核子工程:核工原理#39787
103年 · #39787
103年 - 103 高等考試_二級_核子工程:核工原理研究#39782
103年 · #39782
102年 - 102 高等考試_三級_核子工程:核工原理#39921
102年 · #39921