阿摩線上測驗
登入
首頁
>
技檢◆下水道設施操作維護-管渠系統-乙級
> 105年 - 08101 下水道設施操作維護─管渠系統 乙級 工作項目 01:下水道相關法規 1-100#39479
105年 - 08101 下水道設施操作維護─管渠系統 乙級 工作項目 01:下水道相關法規 1-100#39479
科目:
技檢◆下水道設施操作維護-管渠系統-乙級 |
年份:
105年 |
選擇題數:
100 |
申論題數:
0
試卷資訊
所屬科目:
技檢◆下水道設施操作維護-管渠系統-乙級
選擇題 (100)
1. 晴天污水或初期降雨逕流須引至污水處理廠處理,其截流管之設計流量為平均日污水量之(A)1~3(B)3~5(C) 5~7(D)7~9 倍。
2. 污水下水道為避免沉積固體,其最小流速至少為(A)0.6cm/sec(B)0.6m/sec(C)0.6m/min(D)6.0m/min。
3. 台灣家庭污水之平均BOD值約為(A)80~100mg/L(B)180~200mg/L(C)280~300mg/L(D)380~400mg/L。
4. 衛生設備排水量之計算單位稱為(A)流量單位(B)衛生單位(C)設備單位(D)數量單位。
5. 下列何者不是下水道有機物厭氣分解所產生之氣體(A)氨氣(NH
3
)(B)甲烷(CH
4
)(C)硫化氫(H
2
S)(D)氧氣(O
2
)。
6. 設置於沖洗廁所、廚房、浴室、洗衣台之排水存水彎,其功用為(A)防臭(B)通氣(C)除油(D)處理污水。
7. 下水道管渠中有機物厭氣分解產生之臭氣主要來自(A)硫化氫(H
2
S)(B)甲烷(CH
4
)(C)氮氣(N
2
)(D)氧氣(O
2
)。
8. 污水下水道為避免沖刷,其最大流速,一般不得大於(A)3(B)6(C)9(D)12 m/sec。
9. 污水下水道直線段之管徑在 ψ300mm 以下,其最大人孔間距一般為(A)50(B)100(C)120(D)150 m。
10. 下列何者無需設置油脂分離器,廢污水即可逕行排入公共下水道(A)餐廳(B)肉品工廠(C)汽車修理廠(D)家庭。
11. 分流式下水道中,污水管徑一般最小為(A)100(B)200(C)300(D)400 mm。
12. 專供排除家庭污水及事業廢水之下水道,稱為(A)雨水下水道(B)污水下水道(C)合流式下水道(D)道路側溝。
13. 所謂下水,是指(A)雨水(B)雨水及家庭污水(C)家庭污水及事業廢水(D)雨水、家庭污水及事業廢水。
14. 污水管渠在何處不必設有人孔:(A)方向變化處(B)管徑變化處(C)管線之起點(D)每一用戶接管之出口。
15. 位於人行道之污水管最小覆土深,一般規定為(A)0.3(B)0.75(C)1.5(D)2.5 m。
16. 雨水管渠於計劃流量時之最小流速為每秒(A)0.4(B)0.8(C)1.2(D)1.6 m。
17. 二支管渠匯合時其中心交角應儘可能在(A)30(B)45(C)60(D)90 度以內。
18. 生化需氧量的英文代號是(A)COD(B)SS(C)BOD(D)TOD。
19. 化學需氧量的英文代號是(A)COD(B)SS(C)BOD(D)TOD。
20. 懸浮固體物的英文代號是(A)COD(B)SS(C)BOD(D)TOD。
21. 地面下排水橫管管徑大於 ψ300mm 時,每(A)100(B)75(C)60(D)45 m 或管路作九十度轉向處,均應設置陰井 代替清除孔。
22. 下水道法適用之範圍係指(A)都市計劃地區(B)都市計劃地區及指定區域(C)無特別指定地區(D)工業區。
23. 每一衛生器具之存水彎皆須接裝個別通氣管,其最小管徑不得小於(A)10(B)20(C)30(D)40 mm。
24. 凡裝設有衛生設備之建築物,應裝設主通氣管一支以上,其主通氣管應伸出屋頂面至少(A)15(B)30(C)45(D)60 cm 以上。
25. 計畫最大日污水量以平均日污水量每小時之(A)1.0~2.0 倍(B)2.0~3.0 倍(C)3.0~4.0 倍(D)4.0~5.0 倍 為準。
26. 計畫最大時污水量以平均日污水量每小時之(A)1.0~1.5 倍(B)1.5~3.0 倍(C)3.0~4.0 倍(D)4.0~5.0 倍 為準。
27. 合流式抽水機以計畫逕流加上(A)最大日污水量(B)最小日污水量(C)平均日污水量(D)尖峰計畫污水量 為計算 基準。
28. 污水倒虹吸管內之最小流速須大於每秒(A)0.9(B)1.2(C)1.5(D)1.8 m 以上。
29. 管渠之埋設坡度 0.5%表示每 100 公尺長度上升或下降(A)5 公分(B)50 公分(C)5 公尺(D)50 公尺。
30. 下水道可使用之地區,其用戶應依下水道法第十九條所定公告開始使用之日起(A)三個月(B)六個月(C)九個月 (D)一年 內與下水道完成聯接使用。
31. 內徑 ψ2000mm 之管渠,上游端管底高程+12.35m,坡度 0.4%,管渠長度 250 公尺,其下游端管底高程應 為(A)+11.35m(B)+11.50m(C)+12.05m(D)+13.35m。
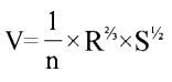
32. 曼寧(Manning)計算公式
,其中 R 是(A)流水之潤濕周邊(B)水力半徑(C)管渠之坡度(D)管之半徑。
33. 污水下水道管渠因排入油脂而阻塞,油脂通常最初粘附於管壁之(A)管底(B)管頂(C)側壁(D)四周。
34. 人孔設置出入口徑不宜太小,以利人員進入檢查及便於清理,其最小口徑不得小於(A)40cm(B)60cm(C)70cm 2 (D)80cm 以上。
35. 雨水集水井之井底與連接管之管底(A)同高(B)至少較深 20cm 以上(C)至少較深 40cm 以上(D)至少較深 60cm 以 上。
36. 重力式沉砂池之設置其流速應低於(A)0.3m/s(B)0.5m/s(C)0.6m/s(D)0.7m/s 以便砂粒沉降清理。
37. 調節池與沉澱池分開設置時,則調節池宜設置在沉澱池之(A)上游(B)下游(C)併列設置(D)上下游均可。
38. 用戶排水設備其連接入公共污水下水道時,其最小管徑不得小於(A)75mm(B)100mm(C)150mm(D)200mm。
39. 用戶排水設備其連接入公共雨水下水道時,其最小管徑不得小於(A)75mm(B)100mm(C)150mm(D)200mm。
40. 管渠會合點常設有人孔或陰井,下列何者非其主要功能?(A)檢查(B)清理(C)使水流順暢(D)附掛電纜線。
41. 建築物排水管完成後,須做滲漏試驗,如分段試驗時,其灌水高於管路最高處應有(A)1.1(B)2.2(C)3.3(D)4.4 m 以上無滲漏方屬合格。
42. 建築物排水管路滲漏試驗,除保持一定水壓外,至少應保持(A)40(B)60(C)80(D)100 分鐘以上無滲漏現象,方 屬合格。
43. 人孔深度如大於 50cm 時,其內徑應漸變為(A)70(B)80(C)90(D)100 cm。
44. 梯形明渠與矩形明渠寬度有變化時,應以漸變段連接,漸變段側牆線與原渠道側牆線之夾角進口處應小於 (A)12.5(B)25(C)37.5(D)45 度以內。
45. 於六公尺以上之道路埋設污水下水道管渠,除特殊保護外,一般最小覆土深度為(A)0.8(B)1.2(C)1.6(D)2.0 公 尺。
46. 設備之出水口如以間接方式排水時,應保持(A)5(B)10(C)15(D)20 公分以上之空隙。
47. 下列何者設備廢污水應經預先處理後始可排入公共下水道?(A)冰箱(B)洗衣機(C)汽車修理廠油槽(D)洗碗機。
48. 存水彎封水深度不得小於(A)2(B)3(C)4(D)5 公分,並不得大於 10 公分。
49. 建築物內排水系統之清潔口裝置時,於管徑(A)100(B)125(C)150(D)200 ㎜以上清潔口間距不得超過三十公尺。
50. 建築物內排水系統之清潔口裝置時,清潔口口徑大於七十五公厘者,其週圍應保留(A)30(B)35(C)40(D)45 公 分以上空間。
51. 衛生設備中之水盆及地板落水,如因裝置地點關係無法接裝通氣管時,得將其存水彎及排水管管徑放大(A) 一級(B)兩級(C)一倍(D)兩倍。
52. 下列何者非管渠系統計畫必須考慮之因素?(A)管渠以採用暗管為原則(B)儘量避免使用倒虹吸(C)污水處理 方式(D)計畫污水量。
53. 抽水設施之電動機按裝在有水沫之虞者應採用何種型式(A)保護型(B)防水型(C)屋外型(D)防沫型。
54. 下列何者非下水道規劃時應調查之事項(A)自來水供水狀況(B)公共事業管線埋設計畫(C)藝術文化(D)水文資 料。
55. 管渠落差大於(A)45(B)75(C)65(D)55 cm 以上者始需設置跌落之人孔或陰井。
56. 下列何種材質管線不得用於排放高溫廢水(A)陶管(B)預力混凝土管(C)硬質塑膠管(D)鋼筋混土管。
57. 有關沉砂池及攔污柵設置之規定何者為非(A)沉砂池以裝設機械式除砂設備為宜(B)沉砂池及攔污柵以設置 於抽水站或處理設施之前為原則(C)沉砂池之平均流速以 0.5m/sec 為準(D)沉砂池之形狀為矩形或圓形。
58. 預先曝氣池之曝氣停留時間一般為(A)10~20(B)20~30(C)30~40(D)40~150 分鐘。
59. 下列何者非都市下水道建設完成後的直接效益(A)保護河川、湖泊及海洋之水質(B)處理水之再利用(C)滅絕各 種水媒介疾病(D)改善環境衛生。
60. 下列何者非分流式下水道的優點(A)可防止砂土流入污水管渠(B)無須處理雨水,可節省污水處理廠建設費(C) 污水量穩定,只要流速適當,可避免管內沉澱(D)上游流量少,容易產生沉澱現象,必須經常沖洗。
61. 下列何者適用於較古老的城市人口預測方法(A)算術增加法(B)幾何增加法(C)對數曲線法(D)最小2乘法。
62. 當低流量時,仍能維持一定流速,而且可以防止污泥淤積者為(A)圓形管(B)卵形管(C)馬蹄形渠(D)矩形渠。
63. 依水力特性曲線求出斷面變化的水深,使計畫水位一致的接合方法稱為(A)水面接合法(B)管頂接合法(C)管中 心接合法(D)管底接合法。
64. 雨水箱涵之淨寬、淨高以不小於(A)1.0(B)1.2(C)2.5(D)2.0 公尺為原則。 3
65. 下列何者非考慮管渠斷面的主要因素(A)坡度越往下游愈緩和(B)管渠內的流速以不發生淤積停滯為原則(C) 下游管渠之流速應較上游為大(D)埋設越淺越好。
66. 管渠排水功能與下列何者無關?(A)管徑(B)流速(C)倒虹吸管(D)人孔大小。
67. 下列何種管材較易受污水腐蝕(A)ABS(丙烯─丁二烯─苯乙烯) 管(B)塑膠管(C)水泥管(D)陶管。
68. 下列何者非下水道產生之有毒氣體(A)甲烷 CH
4
(B)硫化氫 H
2
S(C)氧氣 O
2
(D)氨氣 NH
3
。
69. 下列何者非計畫污水量考慮之因素?(A)家庭污水量(B)事業廢水量(C)滲水量(D)雨水量。
70. 污水水質常用生化需氧量(BOD)及(A)污泥密度(SDI)(B)食物微生物比(BOD/MLSS)(C)懸浮固體物(SS)(D)污泥容 量(SVI) 指標表示,必要時得增加其他項目。
71. 人孔踏步材質為不銹鋼製品,間距為每(A)30(B)50(C)70(D)90 公分設一階,以利作業人員進入人孔檢查及管 線維護清理。
72. 下列何者非下水道規劃現有相關設施應調查項目?(A)地下埋設物(B)現有下水道設施(C)道路現況(D)計畫人 口數。
73. 污水下水道計畫中,為決定管渠、抽水站及處理廠等之容量所採用之污水量,稱為(A)計畫下水量(B)計畫污 水量(C)規劃下水量(D)規劃污水量。
74. 依下水道規定,用戶使用下水道,應繳納使用費,其計收方式有(A)二(B)三(C)四(D)五 種。
75. 下水道用戶不依規定,繳納下水道使用費者,每逾三日,加徵應納使用費額百分之(A)一(B)二(C)三(D)五 滯 納金。
76. 用戶排水設備未經檢驗合格而聯接使用,或經檢驗不合格而不依限期改善者,處(A)一(B)二(C)三(D)六 千元 以上一萬元以下罰鍰。
77. 下水道法中之下水道分成(A)一(B)二(C)三(D)五 種。
78. 下列何種技師,非下水道法所稱之專業技師(A)環境(B)土木(C)水利(D)工安 技師。
79. 為檢查或清理下水道,使人能出入之設施,稱為之(A)深井(B)陰井(C)人孔(D)暗渠。
80. (A)陶管(B)鋼筋混凝土管(C)鑄鐵管(D)PVC 塑膠管 不得用作排放高溫廢水之排水管。
81. 污水管線地下水滲水量一般可以每人每日最大污水量(A)10%~20%(B)20%~25%(C)25%~30%(D)30%~35% 估計之。
82. 計畫最大時污水量一般以平均日之(A)1-1.5(B)1.5-3(C)3-4(D)4-5 倍計算。
83. 污水截流管之設計流量,一般為計畫最大污水量之(A)1-2(B)2-3(C)3-4(D)4-5 倍。
84. 排水設備落水口至存水彎堰口之垂直距離,不得大於(A)10(B)30(C)50(D)60 公分。
85. 屋頂供遊憩或其他用途者,主通氣管伸出屋面高度不得小於(A)0.5(B)1.0(C)1.5(D)2.0 公尺。
86. 污水處理設施之放流口應高出排水溝經常水面(A)3(B)5(C)6(D)10 公分以上。
87. 若直徑為 1 公尺,流速為 1 公尺/秒,其滿管流量應為(A)1(B)2(C)0.5(D)0.785 立方公尺/秒。
88. 事業、污水下水道系統或建築物污水處理設施,排放廢(污)水於地面水體者,應符合(A)放流水標準(B)水 質標準(C)排放標準(D)水體涵容標準。
89. 水污染防治法所稱主管機關,在中央為(A)行政院環境保護署(B)內政部營建署(C)經建會(D)直轄巿政府。
90. 事業排放廢(污)水於地面水體者,應向直轄巿、縣(巿)主管機關申請,經審查登記,發給(A)管制(B)設 置(C)操作(D)排放 許可證後,始得排放廢(污)水。
91. 放流水排放許可證之有效期間為(A)二年(B)三年(C)五年(D)七年。
92. 建築物污水處理設施排放廢(污)水於地面水體,違反放流水標準者,應處新臺幣(A)五千元以上三萬元以 下(B)六千元以上六萬元以下(C)三千元以上三萬元以下(D)六萬元以上六十萬元以下 罰鍰。
93. 事業或污水下水道系統排放廢(污)水,違反放流水標準者,應處新臺幣(A)五千元以上三萬元以下(B)六千 元以上六萬元以下(C)三千元以上三萬元以下(D)六萬元以上六十萬元以下 罰鍰。
94. 建築物污水處理設施之廢污水共同適用之放流水氫離子濃度指數最大限值為:(A)五.○~九.○(B)六.○ ~九.○(C)六.○~十.○(D)五.○~十.○。
95. 建築物污水處理設施之各不同流量之廢污水生化需氧量濃度最大限值為:(A)相同(B)未規定(C)流量較大者限值較大(D)流量較大者限值較小
96. 水污染防治法中在中央之主管機關,為(A)行政院環境保護署(B)內政部(C)經濟部(D)直轄市政府。
97. 排放許可證之每次展延,不得超過(A)一(B)三(C)五(D)七 年。
98. 事業排放廢(污)水於地面水體者,應向直轄巿、縣(巿)主管機關申請,經審查登記,發給(A)排放許可 證(B)操作許可證(C)設置許可證(D)同意許可證 後,始得排放廢(污)水。
99. 事業或污水下水道系統,排放廢(污)水於劃定為總量管制之水體,排放廢(污)水量每日超過(A)五百(B) 一千(C)一千五(D)二千 立方公尺者,應自行設置放流水水質水量自動監測系統,予以監測 。
100. 下水道法所稱主管機關:在中央為(A)行政院環境保護署(B)內政部(C)經濟部(D)直轄市政府。
申論題 (0)
相關試卷
114年 - 08101 下水道設施操作維護─管渠系統 乙級 工作項目 08:截流站操作、維護 1-62(2025/12/04 更新)#134204
114年 · #134204
114年 - 08101 下水道設施操作維護─管渠系統 乙級 工作項目 07:抽(揚)水站之操作、維護 101-123(2025/12/04 更新)#134203
114年 · #134203
114年 - 08101 下水道設施操作維護─管渠系統 乙級 工作項目 07:抽(揚)水站之操作、維護 51-100(2025/12/04 更新)#134202
114年 · #134202
114年 - 08101 下水道設施操作維護─管渠系統 乙級 工作項目 07:抽(揚)水站之操作、維護 1-50(2025/12/04 更新)#134201
114年 · #134201
114年 - 08101 下水道設施操作維護─管渠系統 乙級 工作項目 06:管渠及其附屬設備之清理 1-70(2025/12/04 更新)#134200
114年 · #134200
114年 - 08101 下水道設施操作維護─管渠系統 乙級 工作項目 05:管渠及其附屬設備之維護 1-54(2025/12/04 更新)#134199
114年 · #134199
114年 - 08101 下水道設施操作維護─管渠系統 乙級 工作項目 04:管渠及其附屬設備之檢查 51-80(2025/12/04 更新)#134198
114年 · #134198
114年 - 08101 下水道設施操作維護─管渠系統 乙級 工作項目 04:管渠及其附屬設備之檢查 1-50(2025/12/04 更新)#134197
114年 · #134197
114年 - 08101 下水道設施操作維護─管渠系統 乙級 工作項目 03:作業準備 1-43(2025/12/04 更新)#134196
114年 · #134196
114年 - 08101 下水道設施操作維護─管渠系統 乙級 工作項目 02:識圖 1-62(2025/12/04 更新)#134195
114年 · #134195