阿摩線上測驗
登入
首頁
>
技檢◆下水道設施操作維護-管渠系統-乙級
> 105年 - 08101 下水道設施操作維護─管渠系統 乙級 工作項目 07:抽(揚)水站之操作、維護 1-100#39466
105年 - 08101 下水道設施操作維護─管渠系統 乙級 工作項目 07:抽(揚)水站之操作、維護 1-100#39466
科目:
技檢◆下水道設施操作維護-管渠系統-乙級 |
年份:
105年 |
選擇題數:
100 |
申論題數:
0
試卷資訊
所屬科目:
技檢◆下水道設施操作維護-管渠系統-乙級
選擇題 (100)
1. 下列有關於抽水機之敘述何者為誤?(A)串聯可以提高揚程(B)並聯可增加抽水量(C)揚程太低易生孔蝕現象 (D)降低揚程可增加抽水量。
2. 幫浦起初可出水,但隨即無水,下列那一種原因為不可能(A)幫浦未滿水(B)滲入空氣(C)吸水管有空氣(D)揚程 過高。
3. 為改善配電電壓損失,應裝設之設備為(A)電容器(B)避雷器(C)電壓調整器(D)電熱器。
4. 下列何者非為雨水抽水站啟動機器前之檢查(A)以手轉動聯結軸數轉,確認抽水機可以迴轉(B)引擎曲柄箱之 油面是否適當(C)燃油箱及燃油開關是否有柴油相通(D)運轉半小時後,檢查各部螺栓有無鬆動。
5. 下列敘述何者為非?(A)r.p.m 是馬達轉速(B)HP 為功率單位(C)Ns(比速)單位為每秒公尺(D)Ns 可用來選定抽 水機。
6. 若開動抽水機抽不出水,其原因何者為非?(A)揚程過低(B)幫浦未滿水(C)吸入閥關閉(D)出水閥關閉。
7. 為防止孔蝕現象之發生,操作時應使抽水機內之何種壓力不致降至飽和蒸氣壓力以下(A)水壓力(B)內壓力(C) 大氣壓力(D)絕對壓力。
8. 雨水抽水站抽水之時機為(A)河川水位高於內水位(B)河川水位低於內水位(C)截流設施開啟時(D)截流設施例 行檢查時。
9. 下列何者不是一般抽水站之附屬設施?(A)攔污柵(B)沈砂池(C)抽水機(D)沈澱池。
10. 當抽水機發出雜音時,下列何者非為可能之原因(A)空氣滲入(B)潤滑油不足(C)雜物吸入抽水機內(D)葉輪與外 殼碰觸。
11. 抽水站及處理廠所使用之電動機電源最常用者為(A)單相感應(B)雙相感應(C)三相感應(D)直流。
12. 下列何者不是雨水抽水站所常用之抽水機機種?(A)離心式(B)斜流式(C)往復式(D)軸流式。
13. 豎軸抽水機之吸入管端(內徑為d)應裝設喇叭管,其喇叭口至吸水面間之最小浸水深應保持(A)0.5(B)1.5(C)2. 5(D)3.5 d,以避免造成渦流及產生孔蝕現象。
14. 減速機新齒輪第一次裝潤滑油後(A)一(B)二(C)三(D)四 星期內必須換油或將油過濾後再用。
15. 抽水機運轉時,引擎之實際轉速不得低於額定轉速之(A)50(B)60(C)70(D)80 %。
16. 柴油引擎以調速器控制轉速,其調整範圍普通為額定轉速之(A)10(B)20(C)30(D)40 %。
17. 抽水機需(A)每三個月(B)每二個月(C)每一個月(D)每二週 加潤滑油一次,並以手轉動抽水機數圈。
18. 河川水位上漲高於內水位時,雨水抽水站應(A)立即開啟閘門(B)立即關閉閘門(C)立即停止抽水(D)立即抽水。
19. 抽水站於平時按潮水漲落觀察水位,暴雨時則每(A)六(B)四(C)二(D)一 小時觀察水位一次。
20. 一般防洪抽水機常採用立軸式抽水機比橫軸式抽水機為多,下列何者原因為非?(A)葉輪浸沒水中,無穴蝕 之慮(B)操作簡便(C)原動機可依需要高度裝設,不受浸水威脅(D)吸水揚程較小。
21. 防洪抽水機經計算結果,其總揚程為 8.0M時,宜採用(A)軸流式抽水機(B)混(斜)流式抽水機(C)渦流式抽水機 (D)透平式抽水機。
22. 抽水機比速度Ns=1500 時(公制)應屬(A)軸流式抽水機(B)混(斜)流式抽水機(C)渦流式抽水機(D)透平式抽水 機。
23. 雨水抽水機其揚程較低(5m 以下),因此抽水機型以(A)軸流式(B)混(斜)流式(C)渦流式(D)軸流式或混(斜)流式 抽水機最適宜。 20
24.
公式中,N 為抽水機轉速 r.p.m,H 為總揚程公尺,則Q之流量單位為(A)m
3
/sec(B)cm
3
/sec(C) m
3
/min(D)cm
3
/min。
25. 引擎運轉中突然熄火,在非引擎咬死情況下,下列那一項非其可能原因?(A)油管內有空氣(B)電磁閥線路故 障或損壞(C)油箱通氣管堵塞(D)油已用完。
26. 柴油引擎在運轉中正常之冷卻水溫應維持在(A)100℉~130℉(38℃~54℃)(B)130℉~160℉(54℃~71℃)(C)16 0℉~190℉(71℃~88℃)(D)190℉~220℉(88℃~104℃)。
27. 引擎額定轉速為 1800r.p.m 時則其惰速一般在(A)300~400(B)400~500(C)500~600(D)700~800 r.p.m。
28. 大型抽水機其葉輪凹陷深度若超過(A)1(B)2(C)4(D)6 mm 時應予焊補磨光。
29. 防洪抽水機葉輪與磨阻環間隙大於(A)2(B)4(C)6(D)1 mm 時應即更換新品。
30. 閘門橡膠水封如被雜物刮傷破損長度超過 1/3 時,則將(A)全部換新(B)將該破損部份切除後,再以同型式水 封補接(C)以橡膠融接(D)刮傷破損長度左右各再加一吋以同型式水封補接。
31. 閘門捲揚機之鋼索截面積損壞斷繩在(A)5(B)10(C)15(D)20 %以內者,仍可不必更換鋼索。
32. 人工式攔污柵其設置之傾斜角以(A)10-20(B)30-40(C)45-60(D)75-90 度左右較適宜。
33. 鋼製之防洪閘門,在停電時需緊急關閉閘門以防洪水倒灌,並以(A)梯桿式(B)蝸桿式(C)捲筒鋼索式(D)油壓式 之捲揚機最為適用。
34. 電動馬達有氯氣接觸之虞時,則宜選用(A)保護型(B)防爆型(C)屋外型(D)耐蝕型。
35. 抽水機起動水位之設定應以(A)管渠出口之最高及最低水位(B)集水區之最低標高(C)管渠出口底之標高(D)管 渠出口高低之平均水位 為依據。
36. 抽水機吸水管管端之喇叭型吸入口,其主要目的為(A)使水流順暢減少水頭損失(B)便於吸入污物(C)防止穴蝕 發生(D)防止產生亂流。
37. 運轉中抽水機因故驟然停止致使出口舌閥急速關閉,管內水流壓力(A)保持不變(B)急速上升(C)急速下降(D)緩 慢下降。
38. 抽水機至出水舌閥間排水管常設有一通氣孔引伸至堤頂,其主要功用為(A)補給水量(B)檢查管內水位(C)排水 用(D)排氣減低管內負壓力。
39. 閘門關閉後,下列那一項不是閘門漏水之原因?(A)被異物卡住(B)止水橡皮破損(C)導輪卡死(D)門框扭曲。
40. 軸流抽水機其揚程閉鎖點一般為正常點之(A)二(B)三(C)四(D)五 倍以上。
41. 混流抽水機(A)可短暫閉鎖運轉(B)不可閉鎖運轉(C)可長時間閉鎖運轉(D)閉鎖點軸動力比軸流大。
42. 引擎加速時冒黑煙,下列那一項非其檢查項目?(A)燃油量是否過多(B)排氣背壓是否過高(C)噴油嘴是否堵塞 或損壞(D)機油冷卻器堵塞。
43. 為防止抽水站抽水井流入漂浮物應設置(A)閘門(B)攔水板(C)攔污柵(D)閥門。
44. 抽水井內不需清理(A)漂浮物(B)淤泥(C)浮球(D)垃圾。
45. 污水抽水機葉輪材質以何者較佳?(A)塑膠(B)鋼板(C)不銹鋼(D)鑄鐵。
46. 防洪抽水機之特性為(A)高揚程高流量(B)高揚程低流量(C)低揚程高流量(D)低揚程低流量。
47. 3ψ 電動機何者應加降壓型操作器(A)3ψ220V 10HP(B)3ψ380V 1HP(C)3ψ380V 40HP(D)3ψ380V 50HP。
48. 污水抽水機之特性為(A)高揚程高流量(B)高揚程低流量(C)低揚程高流量(D)低揚程低流量。
49. 一般抽水機馬達不能起動的可能發生故障原因(A)電源開關過載,電源變壓器跳脫有關(B)電源保險絲過載跳 脫,保養不良有關(C)電源變壓器斷電器可能跳脫為主因(D)抽水機本身有問題無法導電所致。
50. 一般揚水站及截流站發生故障需要檢修時常以何種儀表量測電源電壓有無故障?(A)三用電表(B)安培表(C) 瓦特表(D)示波表。
51. 一般巡檢截流站時如何判斷撈污機在自動狀態下是否正常運轉(A)檢視電壓表指針是否在正常位置(B)檢視 電流表是否正常(C)檢視運轉小時記錄器是否有運轉(D)檢視捲揚機的刻度。
52. 使用夾式安培表,下列何者敘述不正確?(A)需關掉總電源(B)夾式安培表可測量任何一相之電流(C)夾式安培 表不可同時測量三相總電流(D)夾式安培表不可同時測量二相電流。
53. 揚水站之電流表指示高於正常電流值甚多時表示(A)抽水馬達壽命將盡(B)抽水馬達線圈燒毀(C)抽水馬達與 21 壓力管脫離(D)抽水機葉輪有污物卡住。
54. 使用三用電表量測揚水站之電源是否正常時應將三用電表選擇開關置於何處?(A)AC(B)DC(C)歐姆(D)DC、M A 檔。
55. 揚水站使用之浮球開關可使用三用電表那一檔判斷是否損壞?(A)AC(B)DC(C)歐姆(D)DC、MA 檔。
56. 揚水站之水位控制下列何者錯誤?(A)中水位時只有一台泵動作(B)高水位時兩台泵同時動作(C)兩台泵可交 替運轉(D)低水位時泵繼續抽水。
57. 對於揚水站電氣常識下列何者錯誤?(A)將抽水機之電源線任兩條對調可使馬達反轉(B)配電箱應裝設接地 線且為綠色(C)大馬力之泵必須裝設Y─△啟動器(D)手動操作時可使水位低於泵渦流殼下方。
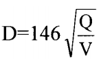
58. 測量抽水機馬達線圈有無燒毀之敘述何者錯誤?(A)三用電表應置於歐姆檔(B)線圈若燒毀歐姆值無限大(C) 線圈若無燒毀歐姆值為定值(D)線圈若無燒毀歐姆值為無限大。
59. 當巡檢保養維護時,若發現泵無法啟動時,下列何者敘述不正確?(A)用三用電表檢查電源是否正常(B)檢查 保險絲是否燒壞(C)檢查 3E 電驛是否跳脫(D)動力電源反接。
60. 揚水站在自動狀態下,電源及馬達皆正常,中水位時泵卻無法自動抽水,為哪一個水位浮球故障?(A)高水 位與中水位(B)低水位與中水位(C)超高水位(D)高水位。
61. 對於抽揚水站及截流站之敘述下列何者錯誤?(A)抽揚水站站井內壓力管須裝置逆止閥(B)截流站之功能是 截取晴天污水(C)抽揚水站之功能為提高水頭,使污水以重力流方式流至處理廠(D)截流站操作之方式為暴雨 時期開啟,晴天關閉。
62. 有關抽揚水站電氣設備,下列何者錯誤?(A)接地線應為紅色(B)配電盤內之三相電源分別為R相、S相、T 相(C)所有泵皆需裝置 3E 保護電驛,以防止臺電欠相運轉,造成損失(D)目前揚水站站井內之泵,皆採用三 相 220V,及三相 380V 電源。
63. 當除臭設備之次氯酸鈉少量外溢時,其處理方式下列何者為正確﹖(A)以大量清水沖釋(B)用酸性溶液混合(C) 用布或紙等物擦拭(D)用鹼性溶液混合。
64. 除臭設備裝置之 pH 及 ORP 偵測棒每週應用酒精或清水清洗一次,另至少每隔多少時間需用適當的清洗劑 清洗一次?(A)一個月(B)三個月(C)半年(D)一年。
65. 除臭設備之洗滌塔內洗滌液每隔多少時間按時排放一次,並更新洗滌液﹖(A)二週(B)一個月(C)二個月(D)六個 月。
66. 一般將電動吊車移動於貨物重心正上方才吊貨,但因物件之因素仍應在對著吊車豎拉(A)3(B)5(C)7(D)9 度。
67. 加藥泵初次安裝或維護保養後,第一次現場操作時下列那一項動作有誤?(A)關閉泵空氣排放閥(B)啟動泵充 滿液體(C)檢查壓力表(D)調整藥液流量輸出及流速。
68. 除臭系統中藥液循環泵在操作時,何者非發生故障的原因?(A)泵軸封冷卻系統缺失(B)泵安裝不正(C)被藥液 腐蝕傳動軸,造成故障(D)藥液成份不足。
69. 抽水機依葉輪形狀分類,何者適用於高揚程渦卷抽水機(A)封密式(B)開放式(C)不阻塞式(D)氣昇式。
70. 抽水機依葉輪形狀分類,何者適用於低揚程斜流抽水(A)封密式(B)開放式(C)不阻塞式(D)氣昇式。
71. 抽水機依葉輪形狀分類,何者適用於含有纖維質雜物(A)封密式(B)開放式(C)不阻塞式(D)氣昇式。
72. 何種泵起動時不需充水(A)渦卷泵(B)斜流泵(C)軸流泵(D)螺旋泵。
73. 下列何者非泵運轉中應注意者(A)壓力表(B)真空表(C)電流表(D)轉速表。
74. 發電機應每隔多少時間實施保養運轉或負載運轉一次,於查電壓表及週率表之指示值是否準確(A)每週(B)每 月(C)每半年(D)每年。
75. 依職業安全衛生法相關法規,抽水站之水液位控制浮球開關採用之安全電壓上限為(A)2.4V(B)24V(C)48V(D)不 限制。
76. 抽水站內為除臭所用之藥液貯槽必需有圍堵,圍堵之空間以貯槽體積(A)0.5 倍(B)1 倍(C)1.5 倍(D)2 倍 為宜。
77. 通過攔污柵之流速在計量流量時為(A)0.3m/s(B)0.45m/s(C)0.6m/s(D)0.75m/s 以下。
78. 攔污柵之水頭損失公式
,式中之 β 為(A)攔污柵傾斜角(B)攔污柵之形狀係數(C)欄污柵 之有效間隔(D)攔污柵之厚度。
79. 在分流式下水道,每 1000m 污水量應設計(A)0.001~0.003(B)0.0035~0.08(C)0.08~0.10(D)0.10~0.15m 之篩渣 量。
80. 考量抽水機及污水處理廠操作管理,沉砂池設計去除污水中(A)0.1mm(B)0.2mm(C)0.3mm(D)0.4mm 以上粒徑 之砂粒。
81. 通常沉砂池之有效水深為(A)0m~1m(B)1m~2m(C)2m~4m(D)無限制。
82. 下列何者非曝氣沉砂池之水力停留時間?(A)0.5 分~1 分(B)1 分~2 分(C)1 分~3 分(D)2 分~4 分。
83. 渦流式沉砂池之水力停留時間為平均日流量(A)30 秒(B)1 分鐘(C)2 分鐘(D)3 分鐘。
84. 為使抽水機吸水管順暢抽水避免孔蝕,吸水管向下喇叭口與井底之最小距離應保持至少(A)0.5D(B)0.8D(C)1.0 D(D)1.5D 以上。
85. 抽水機吸水口徑通常以
決定之,式中 D 之單位為 mm,Q 之單位為(A)m
3
/秒(B)m
3
/分(C)m
3
/時 (D)ft
3
/分。
86. 計算抽水機出水管管徑時,管內流速通常以(A)1m/s~1.5m/s(B)1.5m/s~3m/s(C)3m/s~4m/s(D)4m/s~6m/s 為標 準。
87. 發生水錘作用,下列何者為錯(A)管徑過大(B)停電(C)泵急起動(D)閥門急閉或急開。
88. 以電極棒控制水位,下列何者較易錯誤動作(A)漂浮物多(B)浮渣貼住(C)砂礫較多(D)水流速較大。
89. 浮球起動式控制,下列何者較常易發生錯誤動作?(A)流速較大(B)砂礫多(C)漂浮物多(D)接點破損。
90. 抽水機吸水管應避免水平裝置,但無法避免時應儘可能縮短水平管長度並設向抽水機呈(A)
(B)
(C)
(D)
以上之坡度。
91. 雨水抽水站內柴油機之輔助設備應有可貯存(A)12 小時(B)24 小時(C)36 小時(D)48 小時 之燃料箱。
92. 抽水站除臭系統,若以電解食鹽產生次氯酸鈉去除惡臭,其化學反應中,下列何者將被釋放產生,並導致 火災或爆炸之虞(A)Na
(B)OCI
-
(C)H
2
(D)Cl
2
。
93. 為使抽水機吸水順暢,避免空氣入造成孔蝕,吸水管與管壁間距離,下列何者最佳(A)1D(B)2D(C)3D(D)4D 其 中 D 為吸水管管徑。
94. 抽水機吸水端之底閥濾器有效通水面積為管面積之(A)0.5~1 倍(B)1~2 倍(C)2~3 倍(D)3~4 倍 最佳。
95. 下列何者為減少孔蝕現象發生之正確作法?(A)儘量增加吸入口側之管路水頭損失(B)泵之位置儘量提高(C) 減少回轉數(D)運轉範圍開高效率點。
96. 為利於停電時仍能使閘門上下起動,通常設有以人力旋轉手輪方式操作,通常設計操作手輪之人力以(A)10 ~15kg(B)16~20kg(C)21~25kg(D)26~30kg 為宜。
97. 污水抽水站攔污柵及抽水機等設備除現場手控設備外,其單元控制盤及配電盤以設於(A)現場(B)地下操作室 (C)地下電氣室(D)地面層以上控制室配電室 較妥。
98. 測量下水之量水設備,全堰之越流量公式,Q=C‧B‧h
3/2
式中 C 值為(A)越流量(B)堰寬(C)流量係數(D)越流 水深。
99. 抽水站之電氣及儀控設備以放置於(A)地下一樓(B)地下二樓(C)地面一樓(D)地面二樓 為佳。 複選題:
複選題
100. 有關於抽水機設置不同可達下述何種功能?(A)串聯可以提高揚程(B)並聯可增加排水量(C)提高效率可增加 抽水量(D)增大管徑可增加抽水量。
申論題 (0)
相關試卷
114年 - 08101 下水道設施操作維護─管渠系統 乙級 工作項目 08:截流站操作、維護 1-62(2025/12/04 更新)#134204
114年 · #134204
114年 - 08101 下水道設施操作維護─管渠系統 乙級 工作項目 07:抽(揚)水站之操作、維護 101-123(2025/12/04 更新)#134203
114年 · #134203
114年 - 08101 下水道設施操作維護─管渠系統 乙級 工作項目 07:抽(揚)水站之操作、維護 51-100(2025/12/04 更新)#134202
114年 · #134202
114年 - 08101 下水道設施操作維護─管渠系統 乙級 工作項目 07:抽(揚)水站之操作、維護 1-50(2025/12/04 更新)#134201
114年 · #134201
114年 - 08101 下水道設施操作維護─管渠系統 乙級 工作項目 06:管渠及其附屬設備之清理 1-70(2025/12/04 更新)#134200
114年 · #134200
114年 - 08101 下水道設施操作維護─管渠系統 乙級 工作項目 05:管渠及其附屬設備之維護 1-54(2025/12/04 更新)#134199
114年 · #134199
114年 - 08101 下水道設施操作維護─管渠系統 乙級 工作項目 04:管渠及其附屬設備之檢查 51-80(2025/12/04 更新)#134198
114年 · #134198
114年 - 08101 下水道設施操作維護─管渠系統 乙級 工作項目 04:管渠及其附屬設備之檢查 1-50(2025/12/04 更新)#134197
114年 · #134197
114年 - 08101 下水道設施操作維護─管渠系統 乙級 工作項目 03:作業準備 1-43(2025/12/04 更新)#134196
114年 · #134196
114年 - 08101 下水道設施操作維護─管渠系統 乙級 工作項目 02:識圖 1-62(2025/12/04 更新)#134195
114年 · #134195