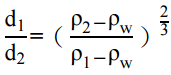
【已刪除】五、淨水場快濾池有單層與雙層濾料之設計,惟在進行反沖洗後要確保快濾池上層與下 層濾料的相對位置不變,以維持快濾池功能,由於濾料之粒徑與密度影響濾料之終 端沉降速度,而具相同終端沉降速度之二種不同粒徑與不同密度濾料間的關係可由 下式定義,試由單顆粒之終端沉降速度推導證明此公式。(20 分)
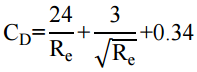
d為粒徑,ρ 為顆粒密度,ρw 為水密度;單顆粒沉降時的阻力係數 (Coefficient of Drag) 為 CD:
Re為雷諾數(Reynolds Number) ,Re = vsdρw/μ;
vs 為顆粒沉降速度,μ 為水動力黏滯係數。