阿摩線上測驗
登入
首頁
>
法醫毒物學
> 105年 - 105 專技高考_法醫師:法醫毒物學#54557
105年 - 105 專技高考_法醫師:法醫毒物學#54557
科目:
法醫毒物學 |
年份:
105年 |
選擇題數:
40 |
申論題數:
6
試卷資訊
所屬科目:
法醫毒物學
選擇題 (40)
1 若不慎引起 parathion 中毒時,下列何種藥物最適合用來解毒? (A) sodium thiosulfate (B) atropine (C) nalorphine (D) EDTA
2 若不慎吸食過多的嗎啡,引起嗎啡中毒,下列何種藥物最適合用來解毒? (A) methamphetamine (B) atropine (C) naloxone (D) EDTA
3 臺灣吸食大麻的案件時有所聞,下列何種不是大麻菸草中所含的主要成分? (A) tetrahydrocannabinol (B) tetrahydrocannabinolic acid (C) cannabinol (D) cannabidiol
4 蓖麻毒素(ricin)是一種生物武器,經常被用於恐怖活動的攻擊事件當中,下列有關蓖麻毒素之敘述何者 錯誤? (A)蓖麻毒素是從蓖麻種子提取出來的毒素 (B)蓖麻毒素是一種蛋白質 (C)蓖麻毒素是一種核糖體毒素 (D)蓖麻毒素的毒性原因是可以水解細胞中的 DNA
5 有關多氯聯苯(polychlorinated biphenyls, PCBs)之敘述,下列何者錯誤? (A)多氯聯苯因其化學性質穩定,因此常用作加熱或冷卻時的熱載體、電容器及變壓器內的絕緣液體 (B)日本及臺灣分別出現米糠油中毒事件,原因是在生產過程中人工加入多氯聯苯,造成米糠油污染 (C)多氯聯苯依其含氯數的多寡,最多有 10 個氯取代 (D)多氯聯苯之代謝,含氯數較少的較容易被代謝
6 新興的類大麻活性物質,吸食後會有類似大麻的迷幻作用,而且也有全球化的流行趨勢,這類毒品有許 多名稱,依據毒品危害防制條例第二條所訂附表,下列何者不是管制的類大麻活性物質? (A) JWH-018 (B) HU-210 (C) CP47,497 (D) MA-2201
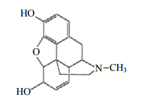
7 嗎啡的化學結構式如下圖,若以電灑游離(electrospray ionization)質譜法分析時,其分子離子峰(MH
+
) 最有可能為下列何者?
(A) 284 (B) 285 (C) 286 (D) 287
8 以氣相層析-質譜儀分析尿液中 MDMA,分析管柱長 30 公尺,得知 MDMA 之滯留時間為 4.20 分鐘, 波峰寬度為 0.15 分鐘,請計算該分析管柱之理論平板數約為多少? (A) 12544 (B) 23520 (C) 25088 (D) 47040
9 在法醫解剖取得的檢體進行藥毒物檢驗時,若要進行質譜資料庫搜尋比對,則以下列何種游離法之質譜 分析法最適合? (A)電子撞擊游離法 (B)化學游離法 (C)電灑游離法 (D)基質輔助雷射脫附游離法
10 法醫解剖取得之檢體如血液、胃內含物或器官等,必須先進行檢體前處理後才能進行儀器分析,下列有 關檢體前處理之敘述,何者錯誤? (A)以 Stas-Otto 法處理檢體,可以去除蛋白質、脂肪或纖維素 (B)利用酸浸法處理檢體,可以去除共軛物之鍵結 (C)要從檢液中萃取嗎啡,pH 值控制在 8~9 間比較好 (D)要從檢液中萃取巴比妥類藥物,pH 值控制在 9 以上比較好
11 呈色試驗係將呈色試劑加入樣品液或是固態之殘渣檢體,觀察顏色變化,雖然簡便、快速,但特異性不 高,因此大都只用在初步檢驗。請問下列那一種藥物不會與 Marquis 試劑產生呈色反應? (A) cocaine (B) heroin (C) methamphetamine (D) pentazocine
12 下列何種分析的方法,較不適合用來進行生物檢體中藥毒物的分析? (A)核磁共振光譜法 (B)毛細管電泳法 (C)薄層層析法 (D)串聯質譜法
13 使用 Widmark 設計的裝置檢測法醫解剖取得血液檢體的乙醇含量時,可不需要加入下列那一項試劑? (A) K
2
Cr
2
O
7
(B) H
2
SO
4
(C) I
2
(D) Na
2
S
2
O
3
14 甲基安非他命的化學結構式如下圖,請問以 70 eV 的游離電子束進行氣相層析-質譜分析,其基峰(base peak)的 m/z 最有可能為: (A) 149 (B) 118 (C) 91 (D) 58
15 在法醫解剖取得之檢體,若要快速檢驗是否含有氰化物,可先將檢液處理後以 guaiac resin 試紙試驗,若 呈現那一種顏色,表示可能有氰化物存在? (A)紅色 (B)黃色 (C)藍色 (D)黑色
16 依據衛生福利部(原行政院衛生署)發布之「濫用藥物尿液檢驗作業準則」,每一批複驗檢體中,至少 應含一個在待測藥物或其代謝物閾值濃度百分之多少以下之品管尿液? (A) 50 (B) 40 (C) 30 (D) 20
17 下列何種先驅藥物(prodrug)攝入後僅會代謝出安非他命,而不會代謝出甲基安非他命? (A) clobenzorex (B) benzphetamine (C) deprenyl (D) famprofazone
18 有關在尿液中檢出毒物之敘述,下列何者錯誤? (A)單純攝入罌粟子,在尿液檢體中可測得嗎啡與可待因 (B)單純攝入可待因,尿中嗎啡濃度也有可能超過可待因濃度 (C)當尿液檢體進行水解後,才可以檢測出尿中的總嗎啡含量 (D)若尿液中檢測出海洛因,則可以判定海洛因之使用
19 依據衛生福利部(原行政院衛生署)發布之「濫用藥物尿液檢驗作業準則」,下列有關濫用藥物尿液檢 驗作業之品質管制及品質保證作為敘述,何者錯誤? (A)不論是初步檢驗或確認檢驗,每批次檢驗均必須包括陰性及陽性品管尿液 (B)每一批初步檢驗尿液檢體中,至少應含百分之十之陽性品管尿液 (C)每一批初步檢驗尿液檢體中,至少應含百分之一檢驗機構本身之盲品管尿液 (D)每一批確認檢驗尿液檢體中,應包括在閾值濃度之單點校正檢體
20 由於可待因是一種鎮咳劑,市面上有許多市售的感冒糖漿含有少量的磷酸可待因,服用這類感冒糖漿口 服液後,下列何者應該不會存在於尿液中? (A) morphine (B) 6-acetylcodeine (C) codeine (D) norcodeine
21 有關 midazolam 的敘述,下列何者錯誤? (A)若因 midazolam 過量而死亡,多因心律不整死亡 (B) midazolam 在血液中濃度有可能發生 postmortem redistribution 的情形 (C) midazolam 死後血中濃度,心臟血可能比股靜脈血濃度高 (D) midazolam 在人類主要的代謝物為 1-hydroxymidazolam
22 有關 methadone 的敘述,下列何者錯誤? (A) methadone 過量有可能造成呼吸抑制 (B) methadone 所引起的致命性心律不整,和使用劑量無關 (C) methadone 所引起的致命性心律不整和 EKG 中 QTc interval 延長有關 (D) methadone 過量所使用的解毒劑為 naloxone
23 有關河豚毒(tetrodotoxin)的敘述,下列何者錯誤? (A)若誤食河豚毒,多在食用後 10 分鐘內發病 (B)河豚毒可使用液相層析-質譜儀分析 (C)河豚中毒的患者會有頭暈、肌肉無力等症狀 (D)河豚中毒的治療目前沒有解毒劑
24 有關 thallium 中毒,下列何者錯誤? (A)若為 thallium 急性中毒,多有腹部絞痛的症狀 (B)若為 thallium 中毒,多有周邊異常疼痛的症狀 (C)若為 thallium 急性中毒,多有禿頭的症狀 (D)若為 thallium 急性中毒,可能會有低血容積性休克的症狀
25 蟾酥的中毒機轉和表現與下列何者最類似? (A)安非他命 (B)毛地黃 (C)氰酸 (D)嗎啡
26 有關夾竹桃中毒的敘述,下列何者正確? (A)夾竹桃只有莖有毒,葉無毒 (B)夾竹桃中毒,會造成呼吸抑制死亡 (C)夾竹桃中毒,會造成四肢麻痺 (D)夾竹桃中毒,會造成心律不整死亡
27 有關汞中毒的敘述,下列何者錯誤? (A)無機汞具有腎毒性 (B)無機汞或有機汞都有可能導致接觸性皮膚炎 (C)汞蒸氣可能很快為肺所吸收 (D)汞元素口服吸收效果很好
28 有關無機砷(inorganic arsenic)中毒症狀,下列何者錯誤? (A)三價砷(As
3+
)比五價砷(As
5+
)毒性強 (B)三價砷(As
3+
)和五價砷(As
5+
)中毒的機轉類似 (C)食入無機砷不易被人體所吸收 (D)無機砷的中毒有可能因致命性心律不整死亡
29 有關鎂的敘述,下列何者錯誤? (A)鎂中毒的症狀以中樞神經抑制為主 (B)硫酸鎂是一種治療心律不整的藥物 (C)鎂中毒較常發生在腎功能不佳的病人身上 (D)鎂中毒的病人常會氣喘發作
30 有關 fentanyl 的敘述,下列何者錯誤? (A) fentanyl 具有類似安非他命的藥理作用 (B) fentanyl 具有中樞神經抑制的作用 (C) fentanyl 的半衰期為 1~5 小時 (D) fentanyl 可以經由皮膚為人體吸收
31 有關 paraquat 的敘述,下列何者錯誤? (A)食入 paraquat 對食道有刺激性和腐蝕性 (B)食入濃度 20%的 paraquat 10~20 毫升就有可能死亡 (C)如果皮膚接觸 20%的 paraquat 20 毫升,皮膚很快會吸收造成急性中毒死亡 (D) paraquat 中毒死亡與否和血清中濃度有關
32 有關 ketamine 的敘述,下列何者錯誤? (A) ketamine 的作用類似 PCP (B)口服 ketamine 吸收效果好 (C) ketamine 在尿液中的主要代謝物是 norketamine (D)使用 ketamine 後有作用的時間約為 30 分鐘到 2 小時
33 有關 mephedrone 的敘述,下列何者錯誤? (A)屬於 cathinones 類的藥物 (B)因其具有極性,穿透中樞神經的效果好 (C)使用後可能會有血清素症候群相關症狀 (D)中文別名為喵喵
34 有關 Bromo-DragonFLY 的敘述,下列何者錯誤? (A)是一種 5-HT receptor 的 agonist (B)會造成瞳孔放大 (C)會造成血管放鬆 (D)會造成視幻覺
35 有關 bath salt(浴鹽)的敘述,下列何者錯誤? (A)浴鹽中的主要成分是 MDPV(methylenedioxypyrovalerone) (B)使用浴鹽會造成 metabolic alkalosis (C)使用浴鹽會造成心搏過速 (D)使用浴鹽會造成易怒
36 有關氫氟酸(HF)中毒,下列何者錯誤? (A)皮膚接觸大量 HF 可能因心律不整死亡 (B)吸入 HF 對呼吸道有刺激性 (C) HF 中毒血液中 Ca
2+
的濃度會增加 (D) HF 中毒可能造成肌肉不自主收縮
37 有關強力膠中毒,下列何者錯誤? (A)強力膠主要成分為甲苯 (B)濫用強力膠者可能有接觸性皮膚炎 (C)濫用強力膠者有四肢無力的現象是因為維生素 B
12
缺乏所引起 (D)強力膠有中樞神經抑制作用
38 有關甲醇中毒之敘述,下列何者錯誤? (A)吸入和食入同樣中毒劑量的甲醇比較起來,吸入甲醇比較快會有中毒症狀 (B)血液中甲醇的濃度並非預測預後的好指標 (C)甲醇中毒者多半有視力模糊症狀 (D)血液中甲醇的濃度有 postmortem redistribution 的現象
39 有關 nitrous oxide 的敘述,下列何者錯誤? (A) nitrous oxide 不易為組織所吸收 (B) nitrous oxide 在體內未經代謝,以原形排出 (C) nitrous oxide 過量者會有角弓反張的症狀 (D) nitrous oxide 中毒的主要原因是其會造成維他命 B12 缺乏
40 有關 postmortem redistribution 的敘述,下列何者錯誤? (A)一般而言脂溶性的藥物受 postmortem redistribution 的影響較大 (B) cannabinoids 是一種脂溶性物質 (C)一般而言心臟血濃度受到 postmortem redistribution 的影響比肝臟小 (D)一般而言心臟血濃度受到 postmortem redistribution 的影響比周邊血液大
申論題 (6)
⑴依據毒品危害防制條例規定,何謂毒品?其分級及品項為何?
⑵依據管制藥品管理條例規定,何謂管制藥品?其分級及品項為何?
⑶何謂「藥物濫用」及「濫用藥物」?
⑷何謂藥物的依賴性(dependence)及耐藥性(tolerance)?
⑸何謂半致死量(medium lethal dose, LD50)?
二、依據「濫用藥物尿液檢驗作業準則」規定:尿液檢驗,分為初步檢驗及確認檢驗, 初步檢驗應採用免疫學分析方法,初步檢驗結果在閾值以上或有疑義之尿液檢體, 應再以氣相或液相層析-質譜分析方法進行確認檢驗。請說明酵素彰顯免疫分析技 術(Enzyme multiplied immunoassay technique, EMIT)在初步檢驗之原理與應用; 並說明氣相層析-質譜法(Gas chromatography-mass spectrometry, GC-MS)在確認 檢驗之原理與應用;如何做好尿液檢驗的品質管制及品質保證作為?(25 分)
相關試卷
114年 - 114 司法特種考試_三等_鑑識人員:法醫毒物學#130165
114年 · #130165
114年 - 114 專技高考_法醫師:法醫毒物學#129132
114年 · #129132
113年 - 113 專技高考_法醫師:法醫毒物學#121754
113年 · #121754
112年 - 112 司法特種考試_三等_鑑識人員:法醫毒物學#116123
112年 · #116123
112年 - 112 專技高考_法醫師:法醫毒物學#115977
112年 · #115977
111年 - 111 專技高考_法醫師:法醫毒物學#109986
111年 · #109986
110年 - 110 專技高考_法醫師:法醫毒物學#100643
110年 · #100643
109年 - 109 專技高考_法醫師:法醫毒物學#89509
109年 · #89509
108年 - 108 司法特種考試_三等_鑑識人員:法醫毒物學#78553
108年 · #78553
108年 - 108 專技高考_法醫師:法醫毒物學#78333
108年 · #78333