所屬科目:北水◆工程力學及流體力學
1.【圖 1】中有五塊相同的磚堆疊起來,頂端的第二塊以不可伸縮的繩索水平固定於牆上,每塊磚重量為 0.4 kg,各接觸界面之靜摩擦係數皆為 0.2,P 的力量需要多大才可拉動最底下那塊磚? (A) 5.49 N(B)3.92N(C)2.35N(D)1.57N
2.【圖 2】靜平衡無摩擦滑輪系統中之施力 P 為下列何者?(不計滑輪自重) (A) W/4 (B) W/8 (C) W/12 (D) W/16
3.下列何者不能達成靜平衡?(P 為力量,M 為力矩) (A) (B) (C) (D)
4.【圖 4】中外力的合力位置與左端支承的距離最接近下列何者?(A)4.5 m (B) 5.5 m(C)6.5m(D)7.5m
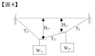
6.如【圖 6】所示,一繩索繫著兩重物 W1 和 W2,T1、T2、T3 為各段繩張力,下列敘述何者錯誤? (A)如果 H1>H2,代表 W1>W2 (B)如果 W2=W1 且 H1>H2,代表 T3>T1 (C)如果 H1>H2,代表 T3>T2 (D)各段繩子與水平面之間的傾斜角越大,代表該段繩張力越大
7.下列桁架何者為靜定結構?(不需要知道桿件之變形能力,即可計算各桿件受力) (A) (B) (C) (D)
8.如【圖 8】所示,桁架中共有哪些桿件受到拉力? (A) b,f,j (B) a,d (C) a,d,h,k (D) b,c,e,f
9.如【圖 9】所示,有關纜繩繞過固定圓樁以抵抗施加於纜繩的外力,下列敘述何者錯誤? (A)主要依賴纜繩與圓樁之間的摩擦力來節省抵抗力 (B)圓樁半徑與省力的幅度無關 (C)省力的幅度與纜繩纏繞的圈數成線性正比 (D)其他條件相同時,所需不讓纜繩滑動的最小抵抗力與外力成線性正比
11.於平板中開固定半徑的圓孔,下列何者重心位置離 X 軸最遠? (A) (B) (C) (D)
14.如【圖 14】所示,欲以一力量 P 彎斷固定於地上之直立細桿,為節省所需之施力,下列何者效果最好? (A)將作用力角度由 45°提高為 90° (B)將作用力角度由 45°降低為 0° (C)將作用力位置由 1 m 提高為 1.5 m (D)將作用力位置由 1 m 降低為 0.5 m
15.【圖 15】靜平衡硬彎管中,何處所受之梁內力矩最大? (A) a (B) b (C) c (D) d
16.【圖 16】靜平衡硬半圓管中,何處所受之梁內斷面剪力最大? (A) a (B) b (C) c (D) d
18.某一力向量在 XYZ 直角坐標系中表示為<3,-5, >,其與 X 軸之間的方向餘弦(Direction Cosine)為何? (A) 0.5 (B) 1.0 (C) 1.5 (D) 3.0
19.下列何種支承型式不是滾支承(Roller)? (A) (B) (C) (D)
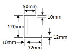
20.如【圖 20】所示之槽形鋼斷面,對其重心處之面積一次矩(First Area Moment of Inertia),下列何者最接近? (A) 0 mm3 (B) 6000 mm3 (C) 9800 mm3 (D) 11500 mm3
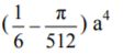
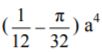
21.如【圖 21】所示之一正方形斷面,邊長 a,在其中心處開一圓孔,直徑 a/2,請計算對其中心之面積二次 極慣量(Polar Area Moment of Inertia)為何? (A) (B) (C) (D)
23.如【圖 23】所示,一直桿受到四個軸力的作用,哪一段有最大的軸向內力? (A) a 段 (B) b 段 (C) c 段 (D) d 段
24.一長溝槽橫斷面如【圖 24】所示,令 h 為流體深度,為流體質量密度,g 為重力加速度,單位長度的垂 直面槽壁所受到的最大力矩為何? (A)ρghB/6 (B) ρgh2B/2 (C) ρgh2B 2 /3 (D) ρgh3 /6
25.如【圖 25】所示,一無摩擦滑輪半徑 r,裝置於一高 h 的柱頂,力量 P 拉住一物重 W 保持靜止,此時柱 底所承受的力矩為何? (A) wh (B) w(h+r) (C) w(h+2r) (D) 2wr
26.一 T 形接管如【圖 26】所示。D1 = 0.2 m,D2 = 0.5 m,D3 = 0.5 m。V1 = 1 m/s 流入。V2 = 10 m/s 流出。 請問 V3 大小,以及流入或流出? (A) 9.84 m/s 流入 (B) 9.84 m/s 流出 (C) 12.50 m/s 流入 (D) 12.50 m/s 流出
33.如【圖 33】所示一壓力計量測 P1 與 P2 壓力差。管中水銀高差是多少時,P1 –P2 = 26.5 kPa?(已知水銀 比重 13.5) (A) 10 cm (B) 20 cm (C) 30 cm (D) 40 cm
41.抽水機有理論馬力及軸馬力。兩者的關係是: (A)理論馬力 > 軸馬力 (B)理論馬力 = 軸馬力 (C)理論馬力 < 軸馬力 (D)理論馬力 =
42.柏努利方程式。請問各項的因次(dimension)為何?(A) M/LT2 (B) M/LT (C) M/ √LT (D) M/T
44.層流的管流壓損公式 。若是層流流況,f 可簡化成(Re 是雷諾數): (A) 8/Re (B) 16/Re (C) 32/Re (D) 64/Re
50.剪應力(shear stress)的單位為下列何者? (A) kg/m3 (B) N/ m3 (C) N/ m2 (D) N/m