所屬科目:北水◆流體機械及工程力學
1.水在一大型開口貯槽中,經由泵抽至液面高度差 10 m 的另一個大型開口貯槽中,若系統中的管徑為 20 cm,總管長為 60 m,忽略在入口、出口以及肘管部分的摩擦損失,假設圓管的摩擦因子(f)為 0.02,動壓水頭 為 1 m,請估算總水頭為多少? (A) 16 m (B) 17 m (C) 61 m (D) 70 m
2.水穩定由消防水管末端口徑 40 mm 的錐狀噴嘴流出,噴嘴出口速度必須維持在 20 m/s 以上,請問泵的最小流量為多少? (A) 0.025 m3 /s (B) 0.045 m 3 /s (C) 0.035 m3 /s (D) 0.01 m3 /s
3.流體符合下列何條件,可使用柏努利方程式(Bernoulli equation)?(A)無黏性、穩態、不可壓縮、沿著同一流線 (B)黏性、穩態、可壓縮、沿著同一流線(C)無黏性、非穩態、不可壓縮、沿著同一流線 (D)無黏性、穩態、可壓縮、沿著同一流線
4.一風扇的全壓為 2000 Pa,風量為 1 m3 /sec,風扇效率為 50%,工作流體為不可壓縮,請問風扇軸功率為何? (A) 4 kW (B) 24 kW (C) 8 kW (D) 2 kW
5.在泵中的總效率(overall efficiency)主要受到下列何效率的影響?(A)水力效率(hydraulic efficiency) (B)機械效率(mechanical efficiency)(C)體積效率(volumetric efficiency) (D)機械效率及體積效率
6.淨正進水頭(net positive suction head, NPSH)的計算和下列何者無關?(A)液體的蒸汽壓力頭 (B)泵動葉輪入口處的總水頭(C)液體的雷諾數 (D)自由液面與泵動葉輪入口處之間的水頭損失
7.如【圖 7】所示之慕迪圖、圓管的摩擦因子圖,慕迪圖(Moody chart)在層流區,有關摩擦係數(f)的說明,下列敘述何者正確? (A)與雷諾數(Reynolds number)成正比 (B)與溫度平方成正比 (C)與相對粗糙度無關 (D)與溫度平方成反比
8.有關如何降低水鎚現象(Water hammer),下列敘述何者錯誤?(A)在管路中裝設氣壓囊,吸收流體動能(B)避免閥門突然關閉(C)防止幫浦突然停機(D)採用耐腐蝕之不鏽鋼管路
9.當二個或以上的相似泵(Pump)進行串聯或並聯時,下列敘述何者正確? A.串聯時總流量為單一泵的流量 B.並聯時總流量為各個泵的流量相加 C.串聯時揚程為單一泵的揚程 D.並聯時揚程為各個泵的揚程相加 (A) A 及 B (B) C 及 D (C) A 及 C (D) D 及 B
10.已知平均流速 V=50 m/s,管徑 4 mm,空氣密度 ρ = 1.23 kg/m3,動力黏度(dynamic viscosity) μ = 1.79 x 10-5 N・s/m2,請問雷諾數 Re (Reynolds number)為多少? (A) 11,700 (B) 13,700 (C) 1,170 (D) 1,370
11.下列何者非標準大氣壓力? (A) 1.0133 bar (B) 101330 N (C) 10.33 m H2O (D) 1.0333 kgf/m2
12.與自然對流之浮力有關的無因次化參數為下列何者?(A)普郎特數(Prandtl number) (B)雷諾數(Reynolds number)(C)紐賽爾數(Nusselt number) (D)葛拉秀夫數(Grashof number)
13.雷諾數 Re (Reynolds number) 無疑是流體力學中最重要的無因次參數,其物理意義為何?(A)浮力與慣性力的比值 (B)慣性力與黏滯力的比值(C)浮力與摩擦力的比值 (D)摩擦力與離心力的比值
14.連續方程式意同為流體運動之:(A)能量守恆 (B)動量守恆 (C)質量守恆 (D)電荷守恆
15.柏努利方程式(Bernoulli equation)意即流體於運動時的何種定律?(A)熱力學第零定律 (B)熱力學第一定律(C)熱力學第二定律 (D)熱力學第三定律
16.泵比例定律(pump scaling laws),可由一部泵的實驗決定性能係數,用以預估泵在不同轉速條件下和流量、 揚程及軸動力的關係,其中與軸動力(隨轉速)呈幾次方關係? (A) 0.5 (B) 1 (C) 2 (D) 3
17.依泵比例定律(pump scaling laws),當泵轉速由 1800 rpm 增加到 3600 rpm,泵之揚程由 10 m 變為幾 m?(A) 20 (B) 40 (C) 60 (D) 80
18.依達西-威斯巴哈方程式(Darcy-Weisbach equation),適用在完全發展、穩定、不可壓縮的管流中,計算水平管的壓降。當摩擦因子固定,壓降分別與管長、管徑及速度呈 a 次方、b 次方及 c 次方,則 a+b+c 等於多少? (A) 0.5 (B) 1 (C) 2 (D) 3
19.在高空的大氣密度為 1 kg/m3,一架飛機以 100 m/s 的速度飛行,請問安裝在飛機鼻部點與在機身的皮托靜壓管顯示的壓差值約為: (A) 3000 Pa (B) 4000 pa (C) 5000 Pa (D) 6000 Pa
20.一離心水泵放置於一大型開放式水槽上方。依據水泵製造商手冊,其 NPSHR (Required Net Positive Suction Head)為 5 m,計算出的有效淨正進水頭 NPSHA (Available NPSH)為 8 m,該水泵不會發生空蝕現象,可以置放 的最大高度為何? (A) 3 m (B) 5 m (C) 8 m (D) 13 m
21.在空調、給排水及消防工程上,常以水或空氣為工作流體,經由泵或風扇傳輸,通常設定此工作流體為不可壓縮,此不可壓縮流體是指下列何者為定值? (A)密度 (B)壓力 (C)黏度 (D)溫度
22.所謂牛頓流體,為在固定溫度及壓力下,剪應力與剪應變率呈下列何種關係的流體?(A)平方關係 (B)線性關係 (C)非線性關係 (D)無關
23.有關對可變風量系統之各種可能容量控制方式,下列何者正確? A.變頻式控制 B.入口導翼 C.出口控制風門 D.減速齒輪馬達 (A)僅 A、B、C (B)僅 A、B、D (C)僅 A、C、D (D) A、B、C、D
24.流體機械中,“輪機”(Turbine)為將流動之流體流過輪機對外作功,下列何者不屬於“輪機”?(A)風力發電機 (B)燃氣輪機引擎 (C)壓縮機 (D)水車
25.常見百貨公司入口大門上方之空氣門,用於阻隔冷氣外洩,由門上前方進風下方出風,屬下列何種形式風扇? (A)橫流式 (B)前傾離心式 (C)後傾離心式 (D)軸流式
26.以鉚釘(rivet)接合兩塊承受拉力的板,請問鉚釘承受下列哪種力?(A)剪力 (B)張力 (C)壓力 (D)扭力
27.有四個機械元件的材質相同,降伏強度為 250 MPa,工作應力分別為 60 MPa、80 MPa、90 MPa 及 120 MPa,請問下列哪個工作應力元件的安全度最大? (A) 120 MPa (B) 90 MPa (C) 80 MPa (D) 60 MPa
28.如【圖 28】所示一角桿之受力自由體圖,有關力平衡原理之敘述,下列何者錯誤?(A)為三力構件平衡平面力系 (B) F1 及 F2 大小相等(C) F1 及 F2 方向相反 (D) F1 及 F2 在同一連線上
29.在公路上有個長 2 m,寬 1 m 的指示方向及路名的招牌,垂直於招牌面的風壓是 800 N/m2,請問該招牌所承受的總風力為何? (A) 400 N (B) 0.8 kN (C) 1.6 kN (D) 16 kN
30.已知【圖 30】的面積慣性矩 Ix =144 cm4,請問 IAB 為若干? (A) 144 cm4 (B) 256 cm4 (C) 432 cm4 (D) 576 cm4
31.某轉動輪以 30 轉∕秒的等加速度運動,突然斷電後 6 秒該輪停止運轉,請問斷電至停止間,該輪共轉了幾圈?(A) 110 (B) 100 (C) 90 (D) 80
32.低碳鋼的拉力實驗裡,當拉力無明顯增加時,該材料的長度繼續伸長,此種現象於「應力-應變圖」上稱為何點? (A)比例限點 (B)降伏(yielding)點 (C)應變硬化點 (D)極限應力(ultimate stress)點
33.某一承受拉力的桿件,在相同條件之下,若截面直徑減小,其伸長量會如何變化?(A)增大 (B)不變 (C)減小 (D)先減小後再增大
34.於低碳鋼拉伸實驗之應力-應變關係裡,在比例限度內若應力( )對應變( )的比值越小,表示此材料有 何特性? (A)彈性限度越大 (B)彈性限度越小 (C)彈性係數越大 (D)彈性係數越小
35.一實心圓軸的剪力模數 G 為 90 GPa,承受 62.8 Nm 的扭矩,直徑為 20 mm,長度為 1.57 m,請問每公 尺長度的扭轉角為何? (A) 2.05 (B) 2.55 (C) 3.05 (D) 3.55
36.一圓軸承受 1300 N●m 的扭矩,轉速為 400 rpm,請問該軸能傳送的功率為何? (A) 45600 W (B) 47.1 kW (C) 54.45 kW (D) 5445 W
37.如【圖 37】所示之鋼製螺栓受負荷 P= 2600 N,螺栓直徑 d= 2 cm,容許剪應力為 6 MPa,若忽略彎矩效應,請問螺栓頭的高度 h 為何? (A) 5 mm (B) 6 mm (C) 7 mm (D) 8 mm
38.如【圖 38】所示,有個 100 N 的物體靜置於平面上,施予 35 N 的水平力,可使該物體開始運動,請問物體與接觸平面間的靜摩擦係數為何? (A) 0.30 (B) 0.35 (C) 0.40 (D) 0.45
39.有個樑的最大彎矩值是 360 Nm ,截面是邊長為 30 mm 的正方形, 請問最大彎曲應力為何? (A) 70 MPa (B) 75 MPa (C) 80 MPa (D) 85 MPa
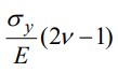
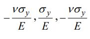
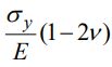
40.若材料僅在 y 軸方向有應力σy 存在,則 x,y,z 三軸的應變可寫為:。請問該材料的體積 應變為何? (A)(B) (C) (D)
41.如【圖 41】的剛體受力情況,當力平衡時,請問 F 力為若干?(A) 490 kN 向左 (B) 490 kN 向右 (C) 130 kN 向左 (D) 130 kN 向右
42.有輛靜止的列車沿著直線以 0.25 m/s2的等加速度啟動前進,請問經過幾秒後速度可達 60 km/hr?(A) 76.7 秒 (B) 66.7 秒 (C) 57.6 秒 (D) 46.7 秒
43.下列何者不符合「力偶矩 (moment of couple)」的相關原理?(A)力偶對平面內任一點之旋轉力矩,稱為力偶矩 (B)對平面內任一點之力偶矩值都相同(C)力偶矩值與力偶矩中心位置有關 (D)力偶矩值等於力偶之任一力乘以二力間的距離
44.受到純扭力(pure torsion)的圓柱軸,下列何者錯誤?(A)剪應變與軸之半徑成反比例 (B)剪應力與軸之半徑成正比例(C)最大應力發生於軸之表面 (D)軸中心上應力為零
45.【圖 45】為一個 T 形的截面,長度單位是公分,請問形心的座標位置(x, y)為何?(A) (30, 50) (B) (30, 40)(C) (38, 40) (D) (38, 50)
46.某桿材料的彈性係數為 250 GPa,受拉力後的應力為 20 MPa,請問應變(strain)為若干? (A)(B) (C) (D)
47.在直線公路上,汽車甲與乙同時自相同起點出發,一段時間後,甲車行進了 2000 m,乙車行進了 1500 m,請問乙車相對於甲車的位置為何? (A) 500 m (B) -500 m (C) 3500 m (D) -3500 m
48.如【圖 48】的正方形截面金屬桿,承受拉力 P 為 3200 N,最大拉伸應力為 100 MPa,請問邊長 a 至少為若干 mm? (A) 2 (B) 4 (C) (D) 8
49.如【圖 49】中的結構,一個 400 N 的力作用於桿件上 B 點及一個力偶作用於 O 點,該力系可轉換為一個單一的集中力作用於桿件上以取代原有力系狀態。請問轉換之集中力為若干及在桿件上距離 O 點的位置為 何?(cos60° = 0.5) (A) 400 N 向下,距離 O 點 420 mm 處 (B) 400 N 向下,距離 O 點 400 mm 處 (C) 380 N 向下,距離 O 點 450 mm 處 (D) 380 N 向下,距離 O 點 420 mm 處
50.如【圖 50】所示,有物體重 W,寬度為 35 cm,物體與接觸面間的靜摩擦係數為 0.35,受一水平力 P 作用,當該物體恰能滑動而不傾倒時,請問 P 力作用的最高位置 h 為若干?
(A) 35 cm (B) 40 cm (C) 45 cm (D) 50 cm