阿摩線上測驗
登入
首頁
>
工程數學(應用數學, 線性代數、微分方程、複變函數與機率)
> 105年 - 105 調查特種考試_三等_電子科學組:工程數學#55638
105年 - 105 調查特種考試_三等_電子科學組:工程數學#55638
科目:
工程數學(應用數學, 線性代數、微分方程、複變函數與機率) |
年份:
105年 |
選擇題數:
0 |
申論題數:
7
試卷資訊
所屬科目:
工程數學(應用數學, 線性代數、微分方程、複變函數與機率)
選擇題 (0)
申論題 (7)
⑴子彈之速度(velocity)與速率(speed)各為何﹖(10 分)
⑵若子彈從點 A = (2, 0, 0)飛行至點 B = (2, 0, 3π),則對應之彈道曲線長度為何﹖ (10 分)
【已刪除】二、有一矩陣 A,已知其特徵值(eigenvalue)為 3 時,對應之特徵向量(eigenvector)為
, 而特徵值是–2 時,對應之特徵向量為
,試計算
為何?(20 分)
【已刪除】三、設
又,在(–1, 1)區間內,f(x)之 Fourier 級數可用下述 的 g 函數表示之:
,若此 g 函數之 Fourier 級數 表示式亦適用於(–1, 1)之區間,則g(3) + g(4) + g(√ 3)之值為何?(20 分)
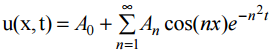
【已刪除】四、有一偏微分方程式如下:u
xx
= u
t
,其中 0 < x < π,且 t > 0。又其邊界與初始條件各為: u
x
(0, t)=0 , u
x
(π, t)=0 , u(x, 0)=(x–π/2)
2
。若上述方程式之解可表示為:
,試求上述表示式中係數 A
6
之值為何?(20 分)
⑴計算小明等候時間會超過 5 分鐘之或然率為何?(10 分)
⑵設小明已等候 10 分鐘,試計算他需再等 5 分鐘或更久之或然率為何?(10 分)
相關試卷
114年 - 114 專技高考_電機工程技師:工程數學(包括線性代數、微分方程、複變函數與機率)#133679
114年 · #133679
114年 - 114 專技高考_電子工程技師:工程數學(包括線性代數、微分方程、向量分析、複變函數與機率)#133677
114年 · #133677
114年 - 114 調查特種考試_三等_電子科學組:工程數學#129578
114年 · #129578
114年 - 114 國家安全情報特種考試_三等_電子組(選試英文):工程數學#127780
114年 · #127780
113年 - 113 專技高考_電子工程技師:工程數學(包括線性代數、微分方程、向量分析、複變函數與機率)#123976
113年 · #123976
113年 - 113 專技高考_電機工程技師:工程數學(包括線性代數、微分方程、複變函數與機率)#123971
113年 · #123971
113年 - 113 調查特種考試_三等_電子科學組:工程數學#122110
113年 · #122110
113年 - 113 身心障礙特種考試_三等_電力工程:工程數學#119517
113年 · #119517
112年 - 112 地方政府特種考試_三等_電力工程、電子工程:工程數學#118376
112年 · #118376
112年 - 112 專技高考_電機工程技師:工程數學(包括線性代數、微分方程、複變函數與機率)#117639
112年 · #117639