阿摩線上測驗
登入
首頁
>
有機化學
> 105年 - 105 關務特種考試_三等_化學工程:有機化學#50323
105年 - 105 關務特種考試_三等_化學工程:有機化學#50323
科目:
有機化學 |
年份:
105年 |
選擇題數:
0 |
申論題數:
25
試卷資訊
所屬科目:
有機化學
選擇題 (0)
申論題 (25)
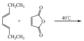
【已刪除】
CH
2
Cl
2
【已刪除】
(CH
3
)
4
Si
H
2
C= CH-CHO
⑴
【已刪除】⑵
【已刪除】⑶
【已刪除】⑷
【已刪除】⑸
【已刪除】6.
【已刪除】7.
【已刪除】8.
【已刪除】9.
【已刪除】10
【已刪除】
【已刪除】
【已刪除】四、請解釋當吡啶(Pyridine)與苯(Benzene)進行硝化的親電子取代反應(Electrophilic Substitution),為何吡啶需要較高的溫度才能讓反應進行?(10 分)
五、請解釋下述化合物的酸性(pKa 值),為何化合物 A 和 B 的酸度 pKa 值與水相近 (pKa 15.6),而化合物 C 的 pKa 值卻相對高於水呈現鹼性。(10 分)
【已刪除】
【已刪除】
相關試卷
115年 - 115 關務特種考試_三等_化學工程(選試英文):有機化學#138982
115年 · #138982
115年 - 115 關務特種考試_四等_化學工程(選試英文):有機化學概要#138903
115年 · #138903
114年 - 114 公務升官等考試_薦任_化學工程:有機化學#133257
114年 · #133257
114年 - 114 調查特種考試_三等_化學鑑識組、醫學鑑識組:有機化學#129586
114年 · #129586
114年 - 114 一般警察特種考試_二等_刑事鑑識人員材料及化學物品鑑析組:有機化學#127790
114年 · #127790
114年 - 114 關務特種考試_三等_化學工程(選試英文):有機化學#126661
114年 · #126661
114年 - 114 關務特種考試_四等_化學工程(選試英文):有機化學概要#126655
114年 · #126655
113年 - 113 調查特種考試_三等_化學鑑識組、醫學鑑識組:有機化學#122084
113年 · #122084
113年 - 113 關務特種考試_三等_化學工程(選試英文):有機化學#119488
113年 · #119488
113年 - 113 關務特種考試_四等_化學工程(選試英文)、化學工程(選試日文):有機化學概要#119484
113年 · #119484