阿摩線上測驗
登入
首頁
>
工程數學(應用數學, 線性代數、微分方程、複變函數與機率)
> 105年 - 105 高等考試_三級_電力工程、電子工程、電信工程、醫學工程:工程數學#54545
105年 - 105 高等考試_三級_電力工程、電子工程、電信工程、醫學工程:工程數學#54545
科目:
工程數學(應用數學, 線性代數、微分方程、複變函數與機率) |
年份:
105年 |
選擇題數:
20 |
申論題數:
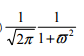
4
試卷資訊
所屬科目:
工程數學(應用數學, 線性代數、微分方程、複變函數與機率)
選擇題 (20)
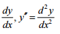
1 假設 X 為連續型隨機變數,具有機率密度函數(density function) f
X
( x) = e
-2|x|
,試求 Y = 0.5 X
2
之平均值 E(Y)為何? (A)1/4 (B)1/3 (C)1/2 (D)1
2 求 xy 平面上與正 x 軸夾角為 0.3π,長度為 3 的向量 F 為何? (A)F = 3cos(0.3π)i+3sin(0.3π)j (B)F = 3sin(0.3π)i+3cos(0.3π)j (C)F = 3cos(0.3π)i-3sin(0.3π)j (D)F = 3sin(0.3π)i-3cos(0.3π)j
3 設 C 為一位在 y = 2 平面上以點(1, 2, 1)為中心,半徑為 4 的圓。則其曲率(curvature)為何? (A)2 (B)
(C)4 (D)
4 求 ∫
C
xydx − y sin( x)dy 之值,其中 C 為 x(t ) = t
2
, y (t ) = t , -1≦t≦4:(A)410-0.5sin(16)+0.5sin(1) (B)410-0.5cos(16)+0.5cos(1)(C)410+0.5sin(16)-0.5sin(1) (D)410+0.5cos(16)-0.5cos(1)
5 有一矩陣
,求該矩陣之反矩陣為何?(A)
(B)
(C)
(D)
6 以下敘述何者正確?(A) A =
不為一正交(orthogonal)矩陣 (B) A =
則 rankA = 4 (C)A =
沒有反矩陣 (D)
有反矩陣
7 設 A 是一個 2 × 2 的實方陣,它的特徵值為 1, -1,則 A
37
=? (A)0 (B)I (C)-A (D)A
8 設 A 為 3 × 3 的矩陣,若 A 的行列式值 detA=-2,則 det(-3 A)之值為何? (A)6 (B)-18 (C)54 (D)-54 1
9 求 z cos(
)在 z = 0 之留數(residue)之值為何? (A)0.5 (B)-0.5 (C)2 (D)-2
10 令 f
1
(z)為一複數冪級數(complex power series)且其收斂半徑 R1 ≠ 0 ,已知 f
2
(z)、f
3
(z)、f
4
(z)分別為 f
1
(z) 經逐項一次微分、二次微分與積分所得之複數冪級數,且其收斂半徑依次為 R
2
, R
3
, R
4
,則下列敘述何者 正確? (A)R
1
= R
2
= R
3
= R
4
(B)R
4
> R
1
> R
2
> R
3
(C)R
4
< R
1
< R
2
< R
3
(D)R
1
, R
2
, R
3
, R
4
無固定關係
11 假設 C 為沿著逆時針方向繞圓周| z| = 2 ,試求積分
為何? (A)0 (B)-πi (C)2πi (D)1
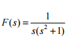
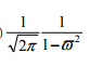
12 請計算
的反拉普拉斯轉換,求得 f (t ) =
= ? (A)
(B)
(C)
(D)
13 試求微分方程式 y′′ − 4 y′ + 4 y =
之通解,其中
:(答案選項中 c
1
, c
2
為常數。) (A) y = (c
1
+ c
2
x)
e2 x
(B) y = (c
1
+ c
2
ln x)
e2 x
(C) y = (c
1
+ c
2
x + ln x)
e2 x
(D) y = (c
1
+ c
2
x + x ln x)
e2 x
14 定義傅立葉轉換為
,求出函數 f ( x ) = e
-|x|
的傅立葉轉換: (A)
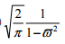
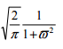
(B)
(C)
(D)
15 下列何者為方程式
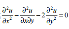
的解? (A) u = f ( y + 2 x) + g ( y + x) (B) u = f ( y + 2 x) + g ( y − x) (C) u = f ( y − 2 x) + g ( y + x) (D) u = f ( y − 2 x) + g ( y − x)
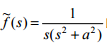
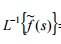
16 令
,而 f (t ) = L
−1
( F ( s)) ,則
之值為何? (A)0 (B)1 (C)∞ (D)不存在
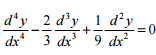
17 下列何者為微分方程式
之通解?(答案選項中 c
1
, c
2
, c
3
, c4 為常數。)(A) y = c
1
+ c
2
xe
x / 3
+ c
3
x
2
e
x / 3
+ c
4
x
3
e
x / 3
(B) y = c
1
+ c
2
x + c
3
e
x / 3
+ c
4
xe
x / 3
(C) y = c
1
+ c
2
x + c
3
x
2
+ c
4
x
3
(D) y = c
1
+ c
2
x + c
3
x
2
+ c
4
e
x / 3
18 考慮一包含 5 個開關元件的系統,其中 2 個開關元件(C
1
, C
2
)並聯(parallel connection)後再與另 3 個開關 元件(C
3
, C
4
, C
5
)串聯(Serial connection),若該 5 個開關元件(C
1
, C
2
, C
3
, C
4
, C
5
)導通的機率分別為 (
),試求該系統導通之機率為何? (A)
(B)
(C)
(D)
19 自一副 52 張撲克牌中取出 4 張牌,試求取出之牌剛好皆為黑桃或皆為紅心花色(suit)之機率為何? (A)
(B)
(C)
(D)
20 若 F, G 兩向量正交,則以下敘述何者正確? (A)F, G 的外積(Cross Product)為 0 (B)F, G 的內積(Inner Product)為 0 (C)F+G = 0 (D)||F+G || = 0
申論題 (4)
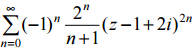
【已刪除】一、z 為複數,考慮一已知收斂之冪級數
,其中心為 z
0
= 1 − 2i , 則其收斂半徑為何?(15 分)
【已刪除】二、設矩陣 A =
,求 A
49
。(15 分)
【已刪除】三、已知一函數為
,如下圖所示。若以半幅展開 f (x) 成 為傅立葉餘弦級數
的型式,試求出 a
0
及 a
n
。(10 分)
四、一平行立方體(parallelepiped)是由(1, 6, 1)到(-2, 4, 2)、(3, 0, 0)及(2, 2,-4)的三個 邊所建構而成,此平行立方體體積為何?(10 分)
相關試卷
114年 - 114 專技高考_電機工程技師:工程數學(包括線性代數、微分方程、複變函數與機率)#133679
114年 · #133679
114年 - 114 專技高考_電子工程技師:工程數學(包括線性代數、微分方程、向量分析、複變函數與機率)#133677
114年 · #133677
114年 - 114 調查特種考試_三等_電子科學組:工程數學#129578
114年 · #129578
114年 - 114 國家安全情報特種考試_三等_電子組(選試英文):工程數學#127780
114年 · #127780
113年 - 113 專技高考_電子工程技師:工程數學(包括線性代數、微分方程、向量分析、複變函數與機率)#123976
113年 · #123976
113年 - 113 專技高考_電機工程技師:工程數學(包括線性代數、微分方程、複變函數與機率)#123971
113年 · #123971
113年 - 113 調查特種考試_三等_電子科學組:工程數學#122110
113年 · #122110
113年 - 113 身心障礙特種考試_三等_電力工程:工程數學#119517
113年 · #119517
112年 - 112 地方政府特種考試_三等_電力工程、電子工程:工程數學#118376
112年 · #118376
112年 - 112 專技高考_電機工程技師:工程數學(包括線性代數、微分方程、複變函數與機率)#117639
112年 · #117639