所屬科目:港務局◆電學及輸配電學概要
9. 下列哪一種三相變壓器的繞組連接方式,可使零序電流在該三相變壓器 的兩側繞組間流動? (A) Y-Y 連接(兩個 Y 連接之中性點均接地) (B) △-Y 連接(Y 連接之中性點接地) (C) △-Y 連接(Y 連接之中性點不接地) (D) Y-Y 連接(僅其中一個 Y 連接之中性點接地)
10.中等長度的輸電線可用標稱或標稱 T 電路來表示其模型,其送電端電壓、電流與受電端電壓、電流間的關係,可用下列哪一種雙埠網路 (two-port network)的參數來表示? (A) Z 參數(或阻抗參數) (B) Y 參數(或導納參數) (C) h 參數(或混合參數) (D) ABCD 參數(或傳輸參數)
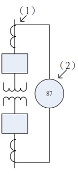
15.請問如下圖所示,(1)及(2)所代表之設備名稱下列選項哪一個正確? (A) (1)比壓器,(2)比流器 (B) (1)比流器,(2)比壓器 (C) (1)比流器,(2)過電流保護電驛 (D) (1)比流器,(2)差動保護電驛
2. 下圖所示之單相二線式配電線路,其中線路段 ab 的線路電阻值 r1=0.02Ω,線路段 bc 的線路電阻值 r2=0.04Ω。若參差因數為 1.1,損失 因數為 0.3,請計算此線路全年之電力損失量。