所屬科目:技術員
1. 一作用力 ,經過座標點 (-3,8,2)m ,則此力對 (2,3,-1)m 座標點之力矩為? (N - m) ( 分別是直角座標系 x, y,z 座標之單位向量) (A) (B) (C) (D)
2. 長度 60 cm 且重量 20 kgw 之一細長桿予以支承如圖,繩被切斷後可自由擺動。試求此桿首次通 過垂直位置時之角速度大小? (A) 7.0 rad /sec (B) 9.5 rad /sec (C) 12.3 rad /sec (D) 14.0 rad /sec
6. D 下式中何者敘述有誤: (A) 合力偶矩 C 與選擇之點有關,但合力與選擇點無關 (B) 平面問題之任何力系,恒能簡化對某一特定點之單一力之最簡力系 (C) 若一力系,中共點力系恒可成過作用點之單一力為最簡力系 (D) 在一力系中,其合力
8.試問下列何者迴轉半徑 k (radius of gyration)之單位? (A) (B) m (C) m2 (D)
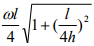
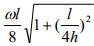
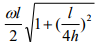
10.當纜所承受分佈力與水平 x 軸成 q =(x) ,如兩固定端高度一樣,則最大拉力為:( h 為固定端 距 x 軸之高度, l 為跨距) (A) (B) (C) (D)
12.有一 V 形皮帶摩擦輪(V 形皮帶夾角為 α ),其兩端拉力為 T1 與 T2 ,且 T1 > T2 ,兩端夾角為 β , 摩擦係數為 μ ,則下列何者為真: (A)(B) (C) (D)
13.半圓形之形心位置 C (如圖),與 x 軸距離為 之值?( , A 為面積) (A) 3π 4r (B) π r (C) 3π 2r (D) 9 4r
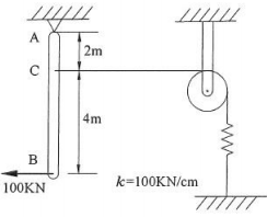
14.如圖,桿件 , A 端鉸接, B 端受水平向左 100 KN 的力, C 點連接水平方向的索線,索線繞 過滑輪,連接於彈簧常數 k =100 KN / cm 的彈簧。若不考慮滑輪與索線的摩擦力,亦不考慮 桿 件的自重,且 桿件視為完全剛性。試問 B 點向左拉了多遠時,系統達到平衡?(假設於圖示的 狀態時,彈簧無伸長縮短) (A) 3 cm (B) 6 cm (C) 9 cm (D) 12 cm
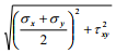
15.已知平面應力 ,則此平面最大剪應力值為: (A) (B) (C) (D)
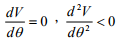
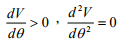
17.一位能 V ,下列何式可代表不穩定平衡?
(A) (B) (C) (D)
19. 一網球質量 0.1 kg ,如球飛來速度為 20 m/sec(←) ,揮拍以 20 m/sec 速度 ∠60° 回擊,兩者夾角 60° (不計重力作用),如圖,如球與拍接觸時間為 0.002 sec ,求擊球力之平均值? (A) 2000 N (B) 1732 N (C) 1000 N (D) 866 N
20. 半徑為 0.5 m 之定滑輪,繞了長繩,一端接質量 1 kg 之物體,如圖。物體自靜止下降,第 3 sec 末,物體下降了 9 m ,試求滑輪角加速度大小? (A) 4 rad /sec2 (B) 6 rad /sec2 (C) 8 rad /sec2 (D) 10 rad /sec2
23.一砲彈以 V0 速度發射,與 x 軸夾角 Θ ,其運動軌跡為:( g 為重力加速度)
(A) (B) (C)
(D)
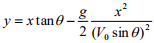
24.一砲彈以 V0 速度發射,與 x 軸夾角 Θ ,其到達最高位置為:( g 為重力加速度) (A) (B) (C) (D)
25.下列何式對敘述保守力場有誤?( F 代表力量, V 代表位能, 代表功) (A)(B) (C) (D)
26. 有一矩形截面 (b1,h1) 的簡單支持樑受到一負荷力,在樑長中點處(midpoint)的位移(displacement) 是 27 mm ;因某種原因,原來的樑將被另一新樑取代。新樑之材質,受力情況與總長度都與原有 之舊樑相同,惟新樑的截面寬度 (b2) 為原有樑寬 (b1 ) 之一半,但是應用上要求新樑在受力後的中 點處位移是 16 mm 。試問:新樑之需要高度 (h2) 與舊樑之高度比(A) (B) (C) (D)
27. D 長度 L 之懸臂樑,其楊氏模數為 E ,慣性矩為 I ,在自由端受到集中載重 P 與彎矩 M0 作用, 略去剪力的影響,則此樑之應變能為: (A) (B) (C) (D)
28.當一力 P 作用於懸臂樑中點 B 時,請求出 B 點之垂直位移為何?假設樑長為 L ,其勁度為 EI : (A) (B) (C) (D)
29.當一力 P 作用於懸臂樑中點 B 時,請求出該樑末端(懸空端) C 點之垂直位移為何?假設樑長為 L ,其勁度為 EI : (A) (B) (C) (D)
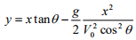
32.一個質點其速度為 ,若 。請問外積在 y 方向之 分量為:(分別是直角座標系 x, y,z 座標之單位向量) (A) -26 m2/sec (B) 5m2/sec (C) 54m2/sec(D) 30m2/sec
33.一個置於地面上滾動不滑動的圓盤,半徑為 R ,以 ω rad /sec 等角速度向右方運動。在圓盤中 心點 O 之瞬時速度為:( 分別是直角座標系 x, y,z 座標之單位向量) (A)0 (B) Rωi (C) 2Rωi (D) 3Rωi
34.達氏定理(D' Alembert Principal)將牛頓第二運動定律改寫成 ,其中 係一 假想力,用來使系統平衡,此假想力可稱為: (A) 慣性力 (B) 萬有引力 (C) 摩擦阻力 (D) 向心力
38.在平面上有一力 ,作用在 A 點, A 點在直角座標 x - y 上位置為 (-5,10) ,試求此力 對座標原點 (0,0) 之彎矩?( 分別是直角座標系 x, y,z 座標之單位向量) (A)55 (B)-55 (C)90 (D)-90
44. D 一直徑為 60 mm ,長為 3 m 之實心金屬軸,受一扭力矩 T = 800 N •m 扭轉,則此軸之最大剪力 ? (A) 20.32 MPa (B) 22.18 MPa (C) 23.45 MPa (D) 18.86 MPa
49.汽車沿一直徑為 20 m 之圓形軌道上行駛,該車相對於某固定參考點之位置與時間關係函數為。其中 S 為位置,單位為 m ,t 為時間,單位為 sec 。若某運動瞬間,該車切線 加速度為 2 14 m/sec ,則此時該車之合加速度值為何? (A) 20 m/sec2 (B) 29 m/sec2 (C) 34 m/sec2 (D) 37 m/sec2
50.一鋁棒長 5 m ,截面積為 10 cm×10 cm ,若對強度之要求為內應力不得大於 σ = 5000 kg / cm2 , 對勁度之要求為伸長量 δ不得大於 0.2 cm ,則該鋁棒所能承受的最大負荷為何?(設) (A) 700 t (B) 600 t (C) 500 t (D) 400 t