所屬科目:有機化學
1 下列反應的主要產物為何者? (A) (B) (C) (D)
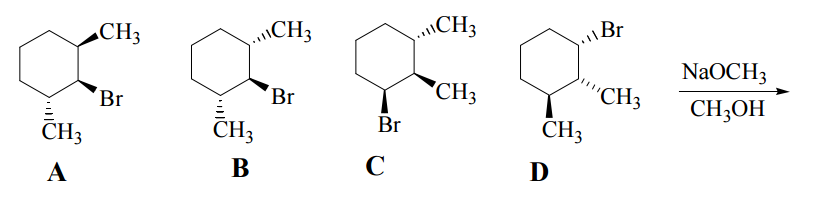
2 下列四化合物 A-D,何者最難進行 E2 消去(elimination)反應? (A) A (B) B (C) C (D) D
3 下列化合物經脫水反應(dehydration)後會得到幾個同分異構物產物? 4 (A)2(B)3(C)4 (D)5
4 此反應在有機溶劑下進行會得到什麼產物? (A)只有順-1,2-二溴環己烷 (B)只有反-1,2-二溴環己烷 (C)混合物包含一半的順-1,2-二溴環己烷及一半的反-1,2-二溴環己烷 (D)混合物包含超過一半的順-1,2-二溴環己烷
6 下列兩種反應分別為 SN1 與 SN2 親核性取代反應,若溶劑的極性減小,對反應的速率有何影響? (A)SN1 反應變快;SN2 反應變慢 S (B) N1 反應變慢;SN2 反應變快 (C)兩者反應皆變快 (D)兩者反應皆變慢
7 請選出可應用於下列反應之試劑: (A)Br2, 照光 Br (B) 2, FeBr3 (C)HBr (D)HBr, H2O2
8 下列化合物中那一組氫在氫核磁共振光譜上( 1 H-NMR)的化學位移值(δ)最小? (A)① (B)② (C)③ (D)④
9 請選出下列化學反應的主要產物? (A) (B) (C) (D)
10 下列反應,主要產物結構為: (A) (B) (C) (D)
11 請選出下列化學反應(* C 代表 14C)的主要產物? (A) (B) (C) (D)
14 下列那一個反應可以得到希夫鹼(Schiff base)? (A) (B) (C) (D)
16 下列反應的主要產物為何? (A) (B) (C) (D)
17 下列反應的主要產物為何? (A)H2C=O + Cl2 (B) CO2 + HCl (C) H2CO3 + Cl2 (D) HCO2H + HCl
18 下列反應的主要產物結構為: (A) (B) (C) (D)
19 下列那一些化合物屬於芳香族群? (A)僅①② (B)僅①③ (C)僅②③ (D)①②③
21 下列那一化合物在質譜圖中 m/e = 72 有強吸收信號? (A) (B) (C) (D)
22 下列反應中,主要產物分子為: (A) (B) (C) (D)
23 下列何者互為差向異構物(epimer)? (A)I 和 II (B)I 和 III (C)II 和 IV (D)III 和 IV
⑴
⑵
⑶
三、寫出下列反應之反應機構:(5 分)
四、請對下列反應提出一合理的反應機構。(5 分)