所屬科目:國營事業◆1.石油工程 2.油層工程
(三)在【圖 2】中虛線所代表流動保障因素為哪一種(2 分)?請說明理由(2 分)?
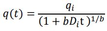
(三)頁岩氣以水平井進行液裂後開始生產,裂縫所產生之瞬時線性流動(Transient linear flow)階段,以下列方程式分析其產量與時間關係,b 值為何(3 分)?若以此 b 值進行 產量預測,會高估或低估井之最終可採量(2 分)?