所屬科目:綜合科目-電子商務、行銷企劃、邏輯推理、計算機概論、初階程式設計(JAVA+SQL程式語言為主)
(一)恰好用 2 種方式與學生互動的教師分別有多少名?
(二)有多少名教師至少用 2 種方式與學生互動?
(三)有多少名教師只用 1 種方式與學生互動?
(一)隨著 Internet 的興起,分散式系統的環境日趨成熟,要將整個 Internet 視為區域網路般的存取資源與交換資料,程式設計上就必須考慮到三層式架構,請說明三層式架構的內容。
(二)請說明何謂 CMMI?根據 CMM 的定義,軟體工程的成熟度分成五個等級,請 說明其內容。
第三題:
(二)系統分析師需要確認與驗證新系統”需求”(requirements),包括檢視所列之”需求 是否正確”(correct)、”需求是否一致”(consistent),請再列舉四項。
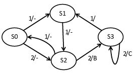
(三)設某”狀態圖”(state diagram)如下所示,請說明該圖上各符號之意義為何?
(四)統一塑模語言 UML (unified modeling language)制定了一套圖型表示法以塑模系統架構,請問 UML 中所謂的”4+1 觀點”(views)內容為何?
第四題: (一)請以”單向鏈結串列”(Singly Linked List)方式,呈現 5 筆字元資料 T、A、B、F、 W 之鏈結串列結構圖。
(二)擬於 12,800 筆已排序過的資料中,以”二元搜尋法”(Binary Search)搜尋一”目標”(target)資料,請問於最佳與最差的搜尋狀況下,其所需的資料”比對”次數分別為何?
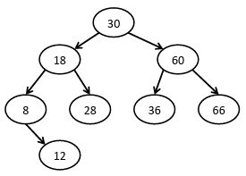
(三)請依下圖所示之二元樹(Binary Tree)結構,針對節點作”中序走訪”(in-order traversal)、”後序走訪”(post-order traversal)之節點拜訪順序分別為何?
第五題:
(二)資料庫系統於操作過程將產生”交易日誌檔”(transaction logs),請問此檔案有何作用?
(a) SELECT * FROM TABLE_X WHERE (X2 = ‘USA’ OR X3 > 28,500);
(b) SELECT X2, COUNT(*), AVG(X3) FROM TABLE_X GROUP BY X2;
第六題: (一)請說明於主機端下達網路操作指令”ping 168.68.6.8”之主要目的為何?
(二)請問”動態主機組態協定” DHCP (Dynamic Host Configuration Protocol)之主要功用為何?
(三)已知封包傳遞經由三段連結(Links):Link_A → Link_B → Link_C,假若此三段連結之資料速率(data rate)分別為:250 Mbps、500 Mbps、150 Mbps,則此三段連結 之平均資料速率為何?
(四)設公司內有一子網路位址為 168.68.6.0/26,請問此子網路所涵蓋的網址範圍為何?