所屬科目:有機化學
一、下列照光氯化反應,請問那一反應速率比較快?請說明理由。(5 分)
二、寫出下列反應之反應機構。(5 分)
三、寫出下列反應所需的試劑。(10 分)
(1)
(2)
(3)
(4)
(5)
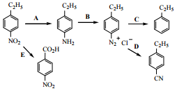
六、寫出下列反應流程所需之試劑。(10 分)
(6)
(7)
(8)
(9)
(10)
九、分子式 C6H13NO 的一對 1, 3-二取代基環己烷衍生異構物,其紅外光譜資料分別如下:
請寫出此異構物 A 和 B 的化學構造式,並說明理由。(10 分)