所屬科目:工程熱力學
⑴內含性質
⑵多變過程
⑶臨界點
二、⑴寫出黑姆荷茲函數(Helmholtz function)A 之定義。(4 分)
⑵試寫出等容比熱 Cv之定義。(4 分)
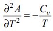
⑶試利用等容比熱之定義與一般熱力方程式推導出其中 T 為溫度。(12 分)
⑴試繪出蒸汽壓縮製冷循環(vapor-compression refrigeration cycle)的 P-h 圖。(5 分)
⑵試以⑴小題繪製之 P-h 圖說明,當循環之冷凝壓力增加時,對輸入功、製冷量及效率 的影響。(10 分)
四、某個活塞/汽缸的裝置,其中含有 30˚C 與 150 kPa 狀態下的二氧化碳。現將二氧化碳 以 PV1.3 = C 之過程壓縮至最終壓力為 600 kPa。試求二氧化碳所作之比功及比熱傳量。 二氧化碳的氣體常數為 0.1889 kJ/kgK、Cp = 0.842 kJ/kgK 與 Cv = 0.653 kJ/kgK。(15 分)
⑴單位時間空氣流量與蒸汽流量各為若干?(20 分)
⑵此複式循環之熱效率?(10 分)
⑶空氣燃料質量比?(5 分)