阿摩線上測驗
登入
首頁
>
輻射安全證書◆游離輻射防護專業
> 106年 - 106-2 行政院原子能委員會_輻射安全證書:游離輻射防護專業#68346
106年 - 106-2 行政院原子能委員會_輻射安全證書:游離輻射防護專業#68346
科目:
輻射安全證書◆游離輻射防護專業 |
年份:
106年 |
選擇題數:
50 |
申論題數:
0
試卷資訊
所屬科目:
輻射安全證書◆游離輻射防護專業
選擇題 (50)
1. 下列何者非體外輻射防護原則? (A)時間 (B)稀釋 (C)距離 (D)屏蔽
2. 試計算光子穿過厚度為 16 cm 之平板的穿透百分率?(假設該平板的直線衰減係數為μ =0.10 cm
-1
(A)1.6%(B)16%(C)0.202%(D)20.2%
3. 反質子為帶負電荷的質子,若一個質子與一個反質子發生互毀時,約會放出多少能量? (A) 1.022 MeV (B) 2.044 MeV (C) 1.86 GeV (D) 3.72 GeV
4. 活度為 1 Ci 的長半化期物質,在 1 分鐘內平均發生蛻變多少次﹖ (A) 3.7×10
10
(B) 3.7×10
11
(C) 2.22×10
11
(D) 2.22×10
12
5. X 光屏蔽計算中的占用因數(occupancy factor)與下列何者有關? (A) X 光機照射時間 (B)作業場所 (C)屏蔽材質 (D) X 光強度
6. 對於放射性活度的單位貝克(Bq)其定義為下列何者? (A)每秒自發性衰變一次 (B)每秒自發性釋出一個γ射線 (C)每分鐘自發性釋出一個α 輻射 (D)每分鐘自發性釋出一個γ射線
7. 0.001 mg 的
226
Ra 每分鐘蛻變數約為何? (A) 3.7×10
4
(B) 2.22×10
6
(C) 1.6×10
19
(D) 6.02×10
23
8. 假設某一原子的 K 層電子束縛能為 50 keV,L 層為 10 keV,而 M 層為 5 keV,則 KLM 奧杰電子(Auger electron)的動能為多少 keV? (A) 65 (B) 45 (C) 35 (D) 15
9. 下列何者不是天然存在的放射性核種 (A)碳-14 (B)鐳-226 (C)鉀-40 (D)鈷-60。
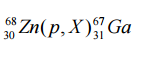
10. 迴旋加速器生產同位素,若反應為
,則 X 代表什麼? (A)α (B) n (C) 2n (D)β
11. 在寬射束的輻射度量環境下,散射光子也可能被偵測到,此時光子指數衰減的公式需要 額外考慮下列何者? (A)增建因子 (B)使用因子 (C)占用因子 (D)工作負荷 2
12. 若一核種的中子數/質子數比值遠低於穩定原子核的平均比值,則此核種有可能外釋出 下列何種輻射? (A)正子 (B)貝他 (C)加馬 (D)制動輻射
13.
39
K (Z=19)和
40
Ca (Z=20)兩者是屬於: (A)同位素 (B)同重素 (C)同質異構物 (D)同中子素
14. 通常光電效應最易發生在原子核外的: (A)自由電子 (B)外層電子 (C)內層電子 (D)中層電子
15. 下列何者為質子的質量? (A) 1.000000 amu (B) 1.007277 amu (C) 1.008665 amu (D) 0.000548 amu
16. 137Ba 與 137mBa 為: (A)同位素(Isotope) (B)同重素(Isobar) (C)同中子素(Isotone) (D)同質異能素(Isomer)
17. 全身組織器官的組織加權因子(WT)之總和為何? (A) 0.12 (B) 0.2 (C) 0.5 (D) 1
18. X 光機主屏蔽計算中,對於偶爾佔用區的占用因數為: (A) 1/16 (B) 1/4 (C) 3/4 (D) 1
19. 對於輻射防護 ALARA 的觀念,主要是實踐那一項防護原則? (A)劑量限度 (B)正當化 (C)最適化 (D)參考水平
20. 關於貝他輻射的敘述下列何者正確? (A)其能譜為連續分布 (B)其平均能量約為最大能量的 3/4 (C)其最大能量通常大於 5 MeV (D)其在水中的徑跡可達數公尺
21. 某 X 光機距離靶 1 公尺處之劑量為 27 mSv/hr ,假設某人在距離靶 3 公尺處作業 30 分 鐘,試問某人可能接受的劑量約為多少 mSv ? (A) 1 (B) 1.5 (C) 2 (D) 3
22. 正子與電子結合,兩個粒子互毀會產生什麼結果? (A)兩個具 511 keV,夾角 180°的β -ray (B)兩個具 0.511 MeV 夾角 180° 的光子 (C)兩個具 511 keV,夾角 90°的特性 X-ray (D)兩個具 931 MeV 夾角 180°的加馬射線
23. 盡一切合理之努力,以維持輻射曝露在實際上遠低於游離輻射防護安全標準之劑量限 度,稱為: (A) DDREF (B) ICRU (C) ALARA (D) MIRD
24. 為了降低β射線所造成的體外曝露,以下列何種材料作為屏蔽最適合? (A)鐵 (B)鉛 (C)鋁 (D)銅
25. 試問能量為 100 keV 的光子,其波長為多少公尺(m)? (A) 1.24×10
-10
(B) 1.24×10
-11
(C) 1.24×10
-12
(D) 1.24×10
-13
26. 輻射對人體的直接作用是游離,而且大部分的直接作用會作用在人體的哪一種組成上而 產生自由基? (A)脂肪 (B)水 (C)骨頭 (D) DNA
27. 哺乳動物的器官中,下列何者對輻射之相對敏感度較高? (A)神經組織 (B)淋巴系統 (C)甲狀腺 (D)腦下腺
28. 輻射造成之皮膚紅斑須超過一定的劑量閾值才會發生,這種效應是屬於: (A)機率效應 (B)確定效應 (C)光電效應 (D)分裂效應
29. 下列何者不屬於急性輻射症候群? (A)胃腸道症候群 (B)造血症候群 (C)骨骼症候群 (D)中樞神經症候群
30. 關於輻射的健康效應,下列敘述何者錯誤? (A)確定效應是指生物受到輻射照射後,若 輻射劑量超過低限劑量(threshold dose),生物效應一定會發生 (B)皮膚紅斑及白內障屬 於確定效應 (C)機率效應是指生物受到輻射照射後,導致生物效應的發生機率會隨輻射 劑量增加而增加,生物效應的嚴重程度也會隨輻射劑量增加而增加 (D)癌症及遺傳效應 屬於機率效應
31. 請問游離腔、比例計數器與蓋革計數器三者之間的靈敏度大小關係為何? (A)游離腔=比例計數器=蓋革計數器 (B)游離腔>比例計數器>蓋革計數器 (C)游離腔<比例計數器<蓋革計數器 (D)蓋革計數器>游離腔>比例計數器
32. 下列何種偵檢器需以透光式光密度計測量光密度(OD)值來評估劑量? (A)熱發光劑量計 (B)膠片劑量計 (C)閃爍偵檢器 (D)光刺激發光劑量計
33. 在生物鑑識法(bioassay)中,最常分析的試樣是? (A)糞便 (B)指甲 (C)尿液 (D)頭髮
34. 全身計測最不適合量測下列何種輻射之污染? (A)高能 β 粒子 (B) γ 射線 (C) X 射線 (D) α 粒子
35. 下列哪一種偵檢器的能量解析度最佳? (A)蓋格偵檢器 (B)比例計數器 (C)碘化鈉偵檢器 (D)純鍺偵檢器
36. 操作在哪一區的充氣式偵檢器可用來偵測輻射? (A)再結合區 (B)連續放電區 (C)限制比例區 (D)飽和區
37. 下列何者屬於常見的中子偵檢器? (A)游離腔 (B)蓋革計數器 (C) Ge(Li)偵檢器 (D) BF3 比例計數器
38. 蓋格計數器較不適用於何種輻射場? (A)低劑量率 (B)高劑量率 (C)高低劑量率皆可 (D)高低劑量率皆不可
39. 某樣品經 10 分鐘計測得 18,000 個淨計數,若此儀器效率為 25 %,則此樣品之活度為 多少 Bq? (A) 30 (B) 120 (C) 3600 (D) 7200
40. 關於充氣式偵檢器使用的外加電壓大小,下列何者為真? (A)游離腔>比例計數器>蓋革計數器 (B)游離腔>蓋革計數器>比例計數器 (C)蓋革計數器>比例計數器>游離腔 (D)蓋革計數器>游離腔>比例計數器
41. 若工作人員在作業過程中因意外曝露而受到 X 光照射,導致 5 mGy 的吸收劑量,則該 人員在此事件中所受到之等價劑量為多少? (A) 5 mGy (B) 5 mSv (C) 10 mSv (D) 20 mSv
42. 一部 X 光機輸出於 100 cm 處之輻射強度為 3.7 mR/hr,試問在 75 cm 處輸出強度約為多 少 mR/hr ? (A) 2.1 (B) 2.8 (C) 4.9 (D) 6.6
43. 在實驗過程中,如遇到計數率(counting rate)極低的試樣(接近背景值),通常在計數時應 注意下列什麼事項以降低計數的誤差(S.D)? (A)將計數時間加長 (B)更新儀器 (C)多計數幾次求平均值 (D)計數三次取最高者
44. 約定等效劑量是指單次攝入放射性核種之後,對某一器官或組織在多少年的等效劑量? (A) 30 年 (B) 40 年 (C) 50 年 (D) 60 年
45. 在下列何種狀況下,電子的輻射質量阻擋本領(mass stopping power)較高? (A)高能量、高原子序 (B)高能量、低原子序 (C)低能量、高原子序 (D)低能量、低原子序
46. 人體的甲狀腺接受了 0.4 mGy 的 β - 輻射和 0.6 mGy 的阿伐粒子的輻射曝射,試求甲狀 腺的等價劑量? (A) 1.0 mGy (B) 6.2 mGy (C) 10.2 mGy (D) 12.4 mGy
47. 下列何者之單位量不是 J/kg? (A)吸收劑量 (B)器官劑量 (C)克馬 (D)活度
48. 已知某一輻射的半值層(HVL)為 0.1 cm 的鉛,十分之一值層(TVL)厚度為 0.32 cm 的 鉛,欲將此輻射強度衰減為原來的四萬分之一,所需鉛屏的厚度為多少 cm? (A) 0.42 (B) 1.12 (C) 1.48 (D) 1.6 5
49. 若所造成的吸收劑量相等,對於α、β與γ射線所造成之等價劑量大小關係為: (A)α>β>γ (B)α=β>γ (C)β=γ<α (D)β>α>γ
50. 點射源的輻射強度與距離的關係為何? (A)平方正比 (B)平方反比 (C)三次方正比 (D)三次方反比
申論題 (0)
相關試卷
115年 - 115-1 核能安全委員會_輻射安全證書:游離輻射防護專業#139734
115年 · #139734
114年 - 114-2 核能安全委員會_輻射安全證書:游離輻射防護專業#132412
114年 · #132412
114年 - 114-1 核能安全委員會_輻射安全證書:游離輻射防護專業#126904
114年 · #126904
113年 - 113-2 核能安全委員會_輻射安全證書:游離輻射防護專業#124993
113年 · #124993
113年 - 113-1 核能安全委員會委員會_輻射安全證書:游離輻射防護專業#121986
113年 · #121986
112年 - 112-2 行政院原子能委員會_輻射安全證書:游離輻射防護專業#118667
112年 · #118667
112年 - 112-1 行政院原子能委員會「輻射安全證書」測驗試題:游離輻射防護專業#114245
112年 · #114245
111年 - 111-2 行政院原子能委員會_輻射安全證書:游離輻射防護專業#111543
111年 · #111543
111年 - 111-1 行政院原子能委員會_輻射安全證書:游離輻射防護專業#110179
111年 · #110179
110年 - 110-2 行政院原子能委員會_輻射安全證書:游離輻射防護專業#104406
110年 · #104406