所屬科目:教甄◆資訊科技概論專業(電腦科)
6. 下列卡諾圖化簡之最簡式為? (A) B+D (B) BD (C) A⊕C (D) AC
16. 關於下列 C++程式敘述,何者正確? (A) While 應改成 while (B) ( )應改為{ } (C) sum=sum+20; 該行寫法錯誤 (D) While(sum<=500) 該行應加上分號
17. 執行以下 C 語言程式片段後,其輸出結果為何? (A) A (B) B (C) AB (D) 沒有任何輸出
18. 執行以下 C 語言程式片段後,其輸出結果為何? (A) 1 2 3 4 5 1 (B) 0 1 2 3 4 4 (C) 0 1 2 3 4 1 (D) 0 1 2 3 4 5
19. 執行以下 C 語言程式片段後,其輸出結果為何? (A) 55 (B) 89 (C) 144 (D) 233
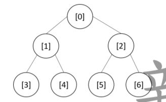
38. 有一個最小堆積(min heap)如下圖,依序放入數字 1,7,4,5,3,2,6,則數字 3 會在哪個位 置? (A) [0] (B) [1] (C) [2] (D) [4]