所屬科目:教甄◆資訊科技概論專業(電腦科)
2. 令X、Y、A、B、C代表五個只能是0或者是1的邏輯值。以XY代表以X和Y為輸入的AND結果,以X+Y代表以X和Y為輸入的OR結果。某邏輯線路的輸出必須是 ,下列何者是與這一個邏輯線路同樣功能且最簡化之形式? (A)(B)(C) (D)
17. 執行完畢下列C語言程式之後,下列選項中何者是檔案 test.txt 的內容的正確敘述? (A)一行的文字,內容是:abc (B)一行的文字,內容是:def (C)一行的文字,內容是:abcdef (D)兩行文字,第一行的文字內容是:abc,第二行的文字內容是:def
18. 下列選項何者是執行下列C語言程式之後所得結果? (A)3323 (B)101023 (C)31023 (D)31022
25. 何者是執行下列C語言程式所得結果? (A)-10 (B)0 (C)2 (D)4
30. 下列選項何者是執行下列程式所得的結果? (A)91 (B)55 (C)50 (D)25
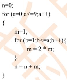
33. 執行下列程式片段後,n的值為何? (A)511 (B)1023 (C)2047 (D)10