所屬科目:教師檢定(教檢)◆國民小學◆數學能力測驗
1.設 A={1,2,{1,2}},則下列何者不正確? (A){1,2} ⊂ A (B){1,2}∈A (C)A 有 8 個子集合 (D)A 有 4 個元素
2.1 到 1000 的自然數中,不為 2、3、5 中任一數之倍數有幾個? (A)266 (B)268 (C)270 (D)272。
3.有一水果商賣芒果每公斤 40 元則損失 20%,假如水果商計畫獲利 30%,請問芒果 每公斤應賣: (A)62 元 (B)63 元 (C)64 元 (D)65 元。
4.甲、乙二人搭 4 節的區間火車,假如選擇車廂的機率相等,請問二人搭不同車廂的機率為: (A) (B) (C) (D) 。
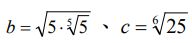
5.比較a = 5、 三數的大小 (A)b>a>c (B)a>b>c (C)b>c>a (D)a>c>b
6.設 x>0,y>0,若 xy=9,則 x+4y 之最小值為何? (A)6 (B)8 (C)10 (D)12
7.若圓 C:(x- 2) 2+ y 2=25 ,已知一條直線過(9,5)與圓 C 相切,且斜率為 m,則 m=? (A)0 (B)5 (C)9 (D)14
8.三角形△ABC,∠A:∠B:∠C=1:2:3,則對應邊之比為 (A)1:2:3 (B)1:2: √3 (C)1: √3:2 (D) √3:2: √5
9.設男孩與女孩出生的機率相等,一個有四個孩子的家庭中,剛好有兩男兩女的機率是多少? (A) (B) (C)(D)
10.設 a,b 均為整數。若 a 是 12 的倍數,且 b 可被 8 整除,則 (A) a − b定可被 4 整除 (B) a + b定可被 8 整除 (C) a − b定可被 12 整除 (D) a + b定可被 24 整除
11.王先生每月家庭預算如下表:
若用圓面積圖來表示上表時,則儲蓄項目所占的角度的度數是 (A)54° (B) 45° (C)18° (D)32°
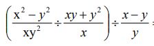
12. = (A) (B) (C) (D)
13.有甲、乙兩數,甲數為乙數的 3 倍,又知道兩數的和比兩數的差多 12,則甲數是 (A)6 (B)9 (C)15 (D)18
14.於圖 x2+y2-4ax+2ay=0 與直線2x − y = 20相切,則a的值為 (A)-3 (B)2 (C)3 (D)4
15.一個正六邊形的對稱軸有 a 條,對角線有b條,則 a − b = ? (A)0 (B)3 (C)5 (D)6
16.設一個正八面體之頂點數為 a,面積為 b,稜數為 c,則 a+b-c=? (A)1 (B)2 (C)3 (D)5
17.設兩圓半徑依次為 3、5,且此兩圓互相外切,則此兩圓之外公切線段之長為 (A)8 (B) 30 (C) 15 (D) 2√15
18.某家公司全部員工平均年齡為 35 歲,其中女性員工平均年齡為 30 歲,男性員工平 均年齡為 37 歲,則該公司女性員工與男性員工的人數比為 (A)2:5 (B)5:2 (C)5:7 (D)7:5
19.已知甲為一個直徑 7 公分的球體、乙為一個每邊長 7 公分的正方體,問甲和乙的體 積大小關係為何? (A) 甲 > 乙 (B) 甲 = 乙 (C) 甲 < 乙 (D) 條件不足,無法比較
20.有一存錢筒裡只有 10 元及 50 元硬幣,共有 600 元;已知 10 元硬幣的個數與 50 元 硬幣的個數一樣多,問此存錢筒裡共有幾枚硬幣? (A) 10 (B) 20 (C) 36 (D) 60
21.將一串數字按下面規律排列:1、2、3、2、3、4、3、4、5、4、5、6、⋯若依此規 律繼續排列下去,則第 100 個數字為何? (A) 33 (B) 34 (C) 35 (D) 36
22.若a = 100032,則a值的所有數字總和為何? (A) 16 (B) 10 (C) 9 (D) 6
23.若某多邊形有一角為90° 、其它的角均為135° ,則此多邊形有幾個邊? (A)9 (B) 8 (C) 7 (D) 6
24.食譜上標示醬油使用量為量杯容量的 ,小明誤將看成,在使用 24 次後,才發現看錯用量,此時醬油已剩原來的 。若小明一開始即正確使用醬油,問這瓶醬油可使用多少次? (A)18 (B)36 (C)54 (D)108
25.某地區的人口約為 1100 萬人,則真正的人數不可能為 (A)1050 萬人 (B)1140 萬人 (C)1022 萬人 (D)1144 萬人。