所屬科目:技師◆空氣污染與噪音工程
三、某旋風集塵器(Cyclone)之截取直徑(dpcut)為 10 μm,試計算下列含 塵廢氣(粒徑分布見下表)之總除塵效率為多少?(15 分)
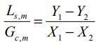
五、⑴請以質量守恆原理,依下圖所示推導填充式吸收塔(Packed Tower) 理論操作曲線之液氣流量比值公式:(10 分)