所屬科目:二、三等◆經濟學(研究)
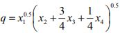
一、假設在完全競爭市場中,共有 10 家同質的廠商,個別廠商的生產函數 為,其中 q 為個別廠商的產量、xi為生產要素, i=1,2,3,4 ,其價格分別為。市場需求為 ,其中 d Q 為市場需求量、 P 為市場價格。若短期 x2 = x3 = x4 = 8,請推導廠商的短期供給函數。並請推導長期均衡時的市 場價格、市場交易量及個別廠商的產量。(25 分)
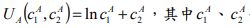
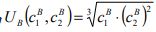
二、考慮一個交換經濟模型:有 A、B 兩個消費者,A 的效用函數為 分別為 A 在第一期和第二期的消費 水準;B 的效用函數為 ,其中分別為 B 在 第一期和第二期的消費水準。另外,A 的第一期稟賦所得為 8、第二期 稟賦所得為 20;B 的第一期稟賦所得為 3、第二期稟賦所得為 30。假設 可貸資金市場為完全競爭。請推導契約曲線(Contract Curve)。並請求 算均衡利率。(25 分)
三、假設某國的生產函數為 ,其中 Y 為產出(所得)、N 為勞動、 K 為資本。令 s 為儲蓄率、n 為勞動成長率、δ 為折舊率。設定政府支出 為 G=gY,g 為政府支出占所得的比例,且 s > g。試以 Solow 新古典成 長模型分析,在政府不課徵任何稅收的情況下,提高 g 對恆定狀態時, 人均資本水準的影響(假設提高後的 g 仍小於 s)。又,若政府維持預算 平衡,則上述結論是否維持不變?(25 分)