所屬科目:教甄◆化學專業/化工科
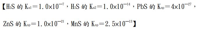
(1)在硫化氫的飽和水溶液中,當 H2S 的濃度為 0.1 M 時,為多少?(3%) 【】
(2) 的溶液濃度皆為 0.01M,通入硫化氫形成飽和溶液,則何種離子會生成沉澱?(3%)
(3)某水溶液中含,欲沉澱最多的而不使沉澱,則通 H2S 於該水溶液(H2S 在水中溶解度為 0.1M),必須控制等於多少?(3%)
(4)請計算 PbS 在 1.0M HCl 中的溶解度。(4%)
3.在 T℃時,甲、乙二液體混合成理想溶液, 蒸氣壓和莫耳分率的關係如右圖所示,則在 A 點時,溶液中甲的莫耳分率為若干?(5%) 今將 A 點組成的足量溶液放置在一真空容器 中,一段時間後,容器中蒸氣壓不再發生變 化,將其所產生的蒸氣完全取出冷凝置在另 一真空容器中,則冷凝液在 T℃時蒸氣壓為若干 mmHg?(5%)