所屬科目:技檢◆電器修護-乙級
10. 如左圖符號表示(A)過電流保護器(B)壓力開關(C)除霜開關(D)過熱保護器。
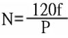
27. 由電容器啟動之馬達,其轉子回轉速若以 RPM 計,其公式為:(A) (B) (C) (D)
29. 如左圖符號表示(A)閃爍電驛之接點(B)操作開關殘留接點(C)限制開關之接點(D)電力電驛之接點。
40. A、B 兩銅條,A 長為 100cm,截面積為 4cm2 ,B 長為 200cm,截面積為 2cm2 ,則其電阻比為(A)2:1(B)4:1(C)1:4(D)1:2。
43. 功率因數計的表示符號是(A) (B) (C) (D)
61. 下列何者為儀表符號?(A) (B) (C) (D)
63. 下列哪些為電機符號?(A) (B) (C) (D)