所屬科目:教甄◆資訊科技概論專業(電腦科)
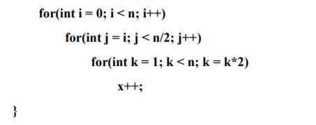
1. 以下函數 b 的時間複雜度是(A) O(nlgn);(B) O(n);(C) O(n2(D)O(2n )。
3. 在下面這段 python 程式執行後,b 中的元素依序為何? (A) 9,7,5,3,1;(B) 10,8,6,4,2;(C) 0,1,2,3,4,5,6,7,8,8;(D) -1,1,2,3,4,5,6,7,8,9,10,-2。
5. 以下是在學校 WWW 伺服器上所列出目前的連線狀況,若管理員僅會由校內 private IP 來源的電腦來對它進行管 理維護,則目前哪個 IP 最可能是入侵者? (A) 127.0.0.1;(B) 64.233.188.188;(C) 162.125.34.129;(D) 117.18.232.200。
6. 這段 C++ 程式執行後,畫面上會出現幾個 * ?(A)10;(B) 12;(C) 16;(D) 18。
9. 以下這段 python 程式運行後,c 的值何? (A) 3;(B) 100;(C) 1000;(D) 程式有誤,執行到途中會停下來。
11. What is the output of the following program : (A) 1 (B) 2 (C) 3 (D) 4
12. What is the output of the following program: (A) 1,2,3 (B) 1,3,0 (C) 5,3,0 (D) 0,3,5
13. The following function return true when ____________.(A) s is string with same char. (B) s is a palindrome. (C) s is empty. (D) all of the above.
14. Given the following functions for Stack operation, please fill the blanks with correct statements.
(A) code1: s[top++] , code2: s[top--] (B) code1: s[++top] , code2: s[--top] (C) code1: s[top++] , code2: s[--top] (D) code1: s[++top] , code2: s[top--]
15. Suppose p is a pointer of node points to the rear of a circular linked list. Initially, p = null.The following program codes will insert a node pointed by pointer q at the front of the circuler list. Please fill in the blanks. (A) code1: p , code2: q (B) code1: p , code2: q->link (C) code1: p->link , code2: q (D) code1: p->link , code2: q->link
16. Suppose p is a pointer of node points to the rear of a circular linked list. Initially, p = null. Suppose we have another linked list pointed by avail which links the unused space together. The following program will erase the circular list into the single linked list pointed by avail. Please fill the blanks.(A) code1: p->link->link, code2: p (B) code1: p , code2: p->link->link (C) code1: temp , code2: avail (D) code1: avail , code2: temp
17. Let T be a binary search tree with left and right pointers as usual.What does the function M(T) compute? (A) The height of T. (B) 1 + the height of T. (C) The number of keys in T. (D) The number of nodes in the extended version of T.
19. How many of the following errors can NOT be detected during program compiling? (A)4 (B)5 (C)6 (D)7
25. Given two switches A,B which are interconnected via port a1 and b2. switch A has following configs: (A) a1: trunk mode, b2: access mode. (B) a1: access mode, b2: trunk mode. (C) a1: trunk mode, b2: trunk mode. (D) a1: access mode, b2: access mode.
28. Which of the following recurrence relation and asymptotic notation is NOT true? (A) T(n) = 8T(n/2) + 1000n2 , T(n) = θ(n3 ) (B) T(n) = 2T(n/2) + 10n, T(n) = θ(nlogn) (C) T(n) = 2T(n/2) + n2 , T(n) = θ(n2 ) (D) T(n) = 2T(n/4) + ,T(n) = θ( log )
30. Given the follow DNS records, which statement is NOT correct? $ORIGIN tyc.edu.tw. tysh IN SOA zeus.tysh.tyc.edu.tw. admin.tysh.tyc.edu.tw. (A) The authoritative name server for domain tyc.edu.tw is zeus. (B) The IP address of the mail server for user@tysh.tyc.edu.tw is 210.50.90.2. (C) mail is the aliase of host hermes. (D) admin@tysh.tyc.edu.tw is responsible for the domain tysh.tyc.edu.tw.
1. 以下這段 C 程式執行後,b 的值為_________ 。(2 分)
3. 以下為一 C 語言的遞迴函數,f(9)的返回值為___________ 。(2 分)
4. 布林運算式 可以化簡至最簡單的式子為_________ 。(2 分)
10. Given a map as follows: (each 3 points)