所屬科目:教甄◆資訊科技概論專業(電腦科)
1. 在運算思維流程中,下列何者與抽象化能力有關? (A) 確認問題需求與限制 (B) 拆解問題成更小的子問題 (C) 忽略不重要的資訊,建立可解決模型 (D) 撰寫程式碼以實現解法
2. 在 Scratch 程式設計中,一位學生設計一個動畫角色在碰到牆壁時改變方向,這個 行為最符合下列何者之運算思維概念? (A) 分解問題 (B) 條件判斷與控制流程 (C) 模式識別 (D) 抽象建模
3. 下列何者是關於 AVL 樹(Adelson-Velsky and Landis Tree)的正確敘述? (A) 在任何情況下,AVL 樹的高度皆為 O(log n) (B) AVL 樹的平衡因子只能是 -2、0、1 (C) 插入節點後最多需要三次旋轉以恢復平衡 (D) AVL 樹不允許重複的鍵值存在於樹中
4. 若一個佇列以陣列實作,採用循環佇列(Circular Queue)方式,若 front = 4,rear = 2, 且陣列大小為 6,則佇列中元素個數為下列何者? (A) 2 (B) 4 (C) 5 (D) 3
5. 以鄰接矩陣(Adjacency matrix)表示法圖形(Graph),若圖有 n 個節點與 e 條邊,下 列何者為空間複雜度? (A) O(e) (B) O(n) (C) O(n²) (D) O(n log e)
6. 以下何者不屬於啟發式搜尋(Heuristic Search)的演算法? (A) 螞蟻演算法(Ant Colony Optimization) (B) 深度優先搜尋(Depth-First Search) (C) 最佳優先搜尋(Best-First Search) (D) 模擬退火法(Simulated Annealing)
7. 以下何者是深度學習模型過度擬合(Overfitting)的現象? (A) 訓練集與測試集的準確率皆極低 (B) 訓練集準確率高但測試集準確率低 (C) 測試集準確率高但訓練集準確率低 (D) 訓練速度過慢且準確率穩定
8. 在生成對抗網路(Generative Adversarial Network)中,下列何者是 Generator 模型訓 練目標? (A) 最小化真實圖片的誤差 (B) 最大化鑑別器的分類精度 (C) 欺騙鑑別器,使其無法區分真假資料 (D) 建立一個資料索引表以提升效率
9. 在使用 GPT 模型生成內容,每次輸出結果幾乎完全相同,則可優先考慮調整下列 何者改變輸出結果? (A) Top-p (B) Batch Size (C) Top-k (D) Temperature
10. 在生成式 AI 模型訓練中,如果模型被輸入具偏見(bias)的資料,可能會造成下 列何者之後果? (A) 模型變得無法收斂 (B) 模型無法回應任何指令 (C) 模型在輸出中強化與複製原始偏見 (D) 模型無法處理非文字類型資料
11. 下列何者是關聯式資料庫之 JOIN 運算子中可保留左表所有資料,即使右表無相 對應資料? (A) INNER JOIN (B) RIGHT OUTER JOIN (C) LEFT OUTER JOIN (D) FULL OUTER JOIN
12. 在 NoSQL 資料模型中,反正規化(Denormalization)主要是用解決解決下列何者 之問題? (A) 降低儲存空間使用量 (B) 提高寫入一致性 (C) 優化查詢效能 (D) 簡化資料備份流程
13. 下列何者不是馮紐曼(Von Neumann)架構的特徵? (A) 指令與資料共用記憶體空間 (B) 程式以機器語言執行 (C) 使用中央處理單元執行運算 (D) 同時存取指令與資料以提升效能
14. 下列何者是最適合用來實作「遞迴」運算的資料結構? (A) 佇列(Queue) (B) 鏈結串列(Linked List) (C) 陣列(Array) (D) 堆疊(Stack)
15. 下列何者為 Deepfake 技術的倫理爭議之主要關切議題? (A) 模型訓練需高性能 GPU (B) 深度學習演算法難以理解 (C) 可能製造偽造影音並造成誤導或名譽損害 (D) Deepfake 檔案無法儲存於硬碟中
16. 下列何者是屬於資訊安全的 CIA 三大核心目標之一? (A) 可用性(Availability) (B) 效率(Efficiency) (C) 便利性(Convenience) (D) 獨立性(Independence)
17. 下列何者為屬於 NP-Complete 問題? (A) Minimum Spanning Tree Problem (B) Shortest Path Problem (C) Subset Sum Problem (D) Binary Search Problem
18. 下列何者 CPU 排程演算法最有可能造成飢餓(Starvation)現象? (A) 先來先服務(First-Come First-Served) (B) 最短工作優先(Shortest Job First) (C) 輪流法(Round-Robin) (D) 多層回饋佇列(Mutilevel Feedback Queue)
19. 下列何者是虛擬記憶體系統中導致系統不斷進行分頁交換的原因? (A) 共享記憶體競爭(Shared-Memory Contention) (B) 死結(Deadlock) (C) 飢餓(Starvation) (D) 輾轉現象(Thrashing)
20. 下列何者是記憶體配置策略最容易產生外部碎裂(External Fragmentation)? (A) 分段(Segmentation) (B) 分頁(Paging) (C) 固定分割配置 (Fixed Allocation) (D) 動態重配置(Dynamic Relocation)
21. 下列何者是關於 AR、VR、MR 三者技術差異的正確描述? (A) AR 完全沉浸在虛擬世界中,不包含現實資訊 (B) VR 僅能用於穿戴裝置,無法與環境交互 (C) MR 可結合虛擬物件與真實世界並互動定位 (D) MR 是 AR 與 VR 的總稱,並無獨立應用模式
22. 下列何者是在 VR 設備中,頭部追蹤精度若不足,最可能造成的生理反應? (A) 暈眩 (B) 聽覺混亂 (C) 運動過量 (D) 網路延遲
23. 下列何者為最常見於大型語言模型的應用情境的風險? (A) 權重初始化失敗 (B) 無法編碼多語言文本 (C) 產生看似正確但實為錯誤的回答(Hallucination) (D) 模型無法接受結構化輸入資料
24. 下列何者在區域網路中負責將 IP 位址轉換為實體 MAC 位址? (A) ICMP (B) ARP (C) DHCP (D) DNS
25. 下列何者網路行為最可能觸犯著作權法? (A) 將他人網頁加為書籤以便日後閱讀 (B) 引用公開資料並附上出處 (C) 上傳未經授權的電影影片至影音平台 (D) 在課堂中討論公開網頁內容
26. 下列何者為 A B + C * Postfix 表示法轉為 Infix 表示法的結果? (A) (A + B) * C (B) A + (B * C) (C) A + B * C (D) A * (B + C)
27. 下列何者為 - / A B + C D Prefix 表示法轉為 Infix 表示法的結果? (A) (A / B) - (C + D) (B) (A - B) / (C + D) (C) (A / (B - C)) + D (D) A / B - C + D
28. 下列何者為統計 orders 表中每個客戶的訂單總數之正確 SQL 指令? (A) SELECT customer_id, COUNT(*) FROM orders; (B) SELECT customer_id FROM orders GROUP BY COUNT(*); (C) SELECT customer_id, COUNT(*) FROM orders GROUP BY customer_id; (D) SELECT COUNT(*) FROM orders GROUP BY customer_id;
29. 下列何者為針對 SQL 中的 TRIGGER 的正確敘述? (A) Trigger 僅能用在 SELECT 操作 (B) Trigger 僅能由資料庫管理員手動觸發 (C) Trigger 只能套用在視圖上 (D) Trigger 可於 INSERT、UPDATE、DELETE 自動觸發
30. 在影像處理中,下列何者是解析度的正確表示? (A) 每秒畫面數 (B) 像素的平均灰階值表示 (C) 每單位長度的像素數 (D) 檔案的壓縮比例
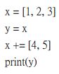
31. 下列何者為執行下面 Python 程式碼的正確輸出?
(A) [1, 2, 3] (B) [1, 2, 3, 4, 5] (C) 錯誤:y 未定義 (D) [4, 5]
32. 下列何者為執行下面 Python 程式碼的正確輸出?
(A) [1] [2] (B) [1] [1, 2] (C) [1, 2] [1, 2] (D) 錯誤:預設參數不合法
33. 下列何者為 Wi-Fi 中 CSMA/CA 協定主要目的? (A) 避免多重資料封包同步傳輸造成碰撞 (B) 保證資料順序傳送 (C) 確保封包加密過程完整 (D) 記錄每個裝置的 IP 位址
34. 下列何者常被用於 AIoT 的感測器之資料傳輸網路通訊協定? (A) HTTP (B) FTP (C) SMTP (D) MQTT
35. 下列何者為 TPU(Tensor Processing Unit)提升矩陣運算效率的單元? (A) 儲存體層級快取加速單元 (B) 單指令多資料流優化單元 (C) 矩陣乘法專用硬體單元 (D) 多核處理器之間的共享記憶體單元
36. 下列何者為在科技化自主學習的歷程中,使學生能主動設定目標與監控進度之學 習策略? (A) 精熟策略(Mastery Orientation) (B) 自我調節學習策略(Self-Regulated Learning Strategy) (C) 試誤策略(Trial-and-Error Strategy) (D) 依附式學習策略(Dependent Strategy)
37. 在系統程式中,下列何者提供高階語言與硬體之間的中介層? (A) 使用者程式(Application) (B) 編譯器(Compiler) (C) 作業系統核心(Kernel) (D) 系統呼叫介面(System Call Interface)
38. 下列何者在作業系統中,不是造成死結(Deadlock)的必要條件? (A) 資源互斥(Mutual Exclusion) (B) 請求與保持(Hold and Wait) (C) 非搶佔(No Preemption) (D) 優先權排程(Priority Scheduling)
39. 下列何者是一個程序在 user mode 中執行時觸發系統呼叫,所產生的狀態轉換? (A) Ready → Running (B) Running → Ready (C) Running → Kernel Mode (D) Blocked → Running
40. 下列何者為 RSA(Rivest–Shamir–Adleman)加密的安全性主要依賴的數學困難問 題? (A) 整數平方根問題 (B) 橢圓曲線離散對數問題 (C) 大整數質因數分解問題 (D) 二次剩餘判定問題