所屬科目:高中指考◆生物
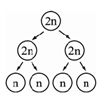
5.若以n、2n分別代表染色體數的單套、雙套,下列圖中何者代表減數分裂過程中染色體的變化? (A) (B) (C) (D)。
6.下面圖(甲)、圖(乙)、圖(丙)為某哺乳動物同一個體的不同細胞進行細胞分裂的情形。下列敘述何者正確?
(A)圖(甲)細胞正在進行有絲分裂 (B)圖(乙)細胞正在進行減數分裂 (C)圖(丙)細胞的同源染色體配對 (D)此動物的神經細胞有6個染色體。