所屬科目:研究所、轉學考(插大)-微積分
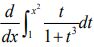
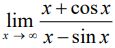
1. 求=_________
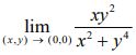
2. 求=_________
3. 求=_________
4. 求 ∫xln(x+1)dx =_________
5. 已知 x² - xy² + y³= 1 , 求=_________
6. 令 y = , 求=_________
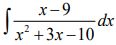
7. 求=_________
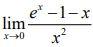
8. 求=_________
9. 求曲線 x² + y² = 25 在點 (3, 4) 上的切線。
10. 求=_________
二、計算題:1. 求 f(x) = x²eˣ 以 x = 0 為中心的泰勒級數 (Taylor Series)。
2. 求= ?
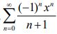
3. 求出所有 x 值使得冪級數收斂, 並說明你的理由。
4. 求= ?