所屬科目:研究所、轉學考(插大)-微積分
1. Find .
2. Find .
3. Find [(1 + secx) 36].
4. Find [x 1/3].
5. (x + 1)y2 + sin y = x2 . Determine.
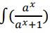
7. Finddx where a is a positive number and a ≠ 1
10. Prove that is conservative