所屬科目:有機化學
(一)請預測下列反應的主要產物,並劃出可能的反應機構。
(二)請預測下列脫水後反應的主要產物,並劃出可能的反應機構。
(三)請解釋下列那一個能量圖可以代表上述(2)反應的情形?
(四)請預測下列重排反應的主要產物,並劃出可能的反應機構。
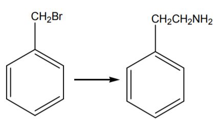
(五)請預測下列反應的主要產物,並劃出可能的反應機構。
(六)請預測下列反應的主要產物,並劃出可能的反應機構。
預測下列照光反應的主要產物,並劃出可能的反應機構。
(1)
(2)
(3)
(4)
(5)
(6)
三、(1)請利用 a Frost circle,劃出下列分子環庚三烯 正離子(tropylium cation,化學式 C7H7+ )的分子軌域能量圖(molecular orbital energy diagram),(2)並預測解釋此分子是否屬芳香族(aromatic)?(每小題 10 分,共 20 分)