所屬科目:水資源工程學
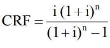
五、有一都市給水計畫,須開發水源,有以下二方案。甲方案為興建一座大 型水庫,將淹沒 600 公頃之農地,但具有 20×106 元之現值效益。乙案為 興建一座較小型的水庫並開發地下水,水庫之淹沒面積為 300 公頃,此 方案之現值效益為 15 ×106 元。若農地生產作物,每年可獲得效益 2,000 元∕公頃,試問應選擇那一方案?為什麼?假設年利率 i=6%,經濟壽命 n=50 年。(20 分) (註:成本回收係數)