所屬科目:公職◆資料庫應用
(一)(18 分)
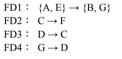
(二)假設已知下列功能相依,請利用功能相依推演規則,也就是 Closure 概念,找出所有 R 的候選鍵(Candidate Key),注意:只憑猜測,沒 有使用功能相依的推演過程,不計分。(12 分)