阿摩線上測驗
登入
首頁
>
統計學
> 108年 - 108 身心障礙特種考試_三等_統計:統計學#75704
108年 - 108 身心障礙特種考試_三等_統計:統計學#75704
科目:
統計學 |
年份:
108年 |
選擇題數:
0 |
申論題數:
13
試卷資訊
所屬科目:
統計學
選擇題 (0)
申論題 (13)
⑴計算卜瓦松分配的估計平均值。(5 分)
⑵在顯著水準為 0.05 下,以卡方檢定檢驗所蒐集的這些資料是否服從卜 瓦松分配?(15 分)
⑶在某個上班日下午 3 點至 3 點 20 分之間,剛好有 6 位民眾到達該單位 處理事務的機率是多少?(5 分)
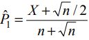
⑴若 Pˆ = X / n ,證明其是否為 p 的不偏估計。(6 分)
⑵若
,證明其是否為 p 的不偏估計。(8 分)
⑶當 n → ∞時, P̂
1
是否為 p 的不偏估計。(6 分)
⑴寫出 Y
1
與 Y
2
的聯合機率函數。(10 分)
⑵若 F ( y
1
, y
2
) = P(Y
1
≤ y
1
, Y
2
≤ y
2
) 為 Y
1
與 Y
2
的聯合分配函數,計算求得 F(2,1)的值。(5 分)
⑶寫出 Y
1
的邊際機率分配函數。(6 分)
⑷求 Y1的期望值。(6 分)
⑴填寫上述表格中的空白處(a)至(h)。(8 分)
⑵在顯著水準為 0.05 下,檢定催化劑 B 與催化劑 C 兩者之反應速率的母 體平均數是否相等。(10 分)
⑶計算催化劑 A 與催化劑 B 兩者之反應速率的母體平均數差的 95%區間 估計。(10 分)
相關試卷
115年 - 115 身心障礙特種考試_四等_經建行政:統計學概要#138995
115年 · #138995
115年 - 115 關務特種考試_三等_關稅統計(選試英文):統計學#138987
115年 · #138987
115年 - 115 身心障礙特種考試_三等_統計:統計學#138977
115年 · #138977
115年 - 115 關務特種考試_四等_關稅統計(選試英文):統計學概要#138961
115年 · #138961
115年 - 115 身心障礙特種考試_三等_經建行政:統計學#138960
115年 · #138960
114年 - 114 地方政府公務、離島地區公務特種考試_三等_經建行政、農業行政:統計學#134798
114年 · #134798
114年 - 114 地方政府公務、離島地區公務特種考試_四等_經建行政:統計學概要#134781
114年 · #134781
114年 - 114 地方政府公務特種考試_三等_統計:統計學#134714
114年 · #134714
114年 - 114 地方政府公務特種考試_四等_統計:統計學概要#134710
114年 · #134710
114年 - 114 公務升官等考試_薦任_經建行政、工業行政:統計學#133268
114年 · #133268