阿摩線上測驗
登入
首頁
>
材料熱力學
> 108年 - 108 高等三級 材料熱力學#77942
108年 - 108 高等三級 材料熱力學#77942
科目:
材料熱力學 |
年份:
108年 |
選擇題數:
0 |
申論題數:
6
試卷資訊
所屬科目:
材料熱力學
選擇題 (0)
申論題 (6)
⑴ 779oC(共晶溫度)
⑵ 700oC
二、請繪製下列反應由室溫至溫度 T 的 Ellingham Diagram:(20 分)
M
(s)
+ O
2(g)
ÆMO
2(s)
M 的熔點(melting temperature):T
1
MO
2
的熔點(melting temperature):T
2
M 的沸點(boiling temperature):T
3
MO
2
的沸點(boiling temperature):T
4
室溫<T
1
<T
2
<T
3
<T
4
;溫度 T:T
3
<T<T
4
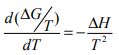
三、何 謂 內 含 性 質 ( intensive property ) ? 試 說 明 溫 度 是 否 為 intensive property?(20 分) d (ΔG )
四、試證明
。(20 分)
五、試證明理想氣體歷經一可逆絕熱(reversible adiabatic)過程,遵循著 PV γ = constant 關係(P:壓力,V:體積, γ :一特定比值) 。(20 分)
相關試卷
111年 - 111 高等考試_三級_材料工程:材料熱力學#109779
111年 · #109779
110年 - 110 高等考試_三級_材料工程:材料熱力學#102522
110年 · #102522
109年 - 109 高等考試_三級_材料工程:材料熱力學#88548
109年 · #88548
107年 - 107 高考三級 材料熱力學#70935
107年 · #70935