所屬科目:海岸工程
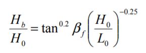
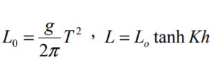
一、利用海底底質和坡度,配合波浪特性可以控制碎波位置,藉以參考來設 計海岸結構物。已知深海波高 H 0 ,週期 T ,考慮單一前灘坡度 β f ,一般 常利用 Sunamura(1983)碎波波高公式計算碎波波高 H b 若同時考慮海灘底質粒徑 D50 ,則常用 Sunamura(1984)所提出的模式 預測前灘坡 若給定深海波高 2.0 m,週期 6 sec,海灘底質粒徑 0.2 mm,計算碎波 波高。另外,若利用孤立波理論中碎波波高和水深 h 關係式 H b = 0.78h , 則碎波點距離海岸線多遠?(25 分)
二、考慮規則波浪由深海進入海岸地區,假設簡單海岸地形,海岸線為直 線、海域等深線與海岸線平行。入射波浪波高 H 為 4 m,波浪週期 T 為 4.5 sec,波浪入射角度 30 度。計算入射波傳到水深 8 m 位置的波向以及 波高。 (25 分) [註] 週波數的計算, 。 = 為週波數, h 為水深,ω 為波浪角頻率(angular frequency) ,g 為 L 重力常數。 群波波速(group velocity) 波浪的 Snell 定律為 。 波浪淺化(shoaling)係數 ,折射(refraction)係數 。 Cg 附標“0”表示深海波相關物理量。
四、海岸波浪往前傳遞碰到港灣防波堤將產生反射波。若防波堤為直立全反 射則產生大小相等方向相反的反射波。但是實際的防波堤可能由於堤面 粗糙或有水生動植物附著,將產生部分反射波。在這種狀況下計算得到 實際的反射率將是非常重要。Healy(1953)利用三角函數關係推導一個 簡單的計算反射率方法。給定入射波和反射波,則堤前合成波可表示為: 其中, ai 、 ar 分別為入射波和反射波振幅, K 、 ω 分別為週波數和波浪 角頻率, ε 為相位差。堤前合成波可以進一步整理表示為: 若能夠量測得到堤前合成波波形的節點(node)和腹點(anti-node)之 波高 H min 和 H max,以及節點和腹點間的距離 Δx ,則入射波和反射波的波 高、波長以及反射率各如何?(25 分)