所屬科目:捷運◆C語言(含C++、C#)及資料庫
1. 下列 C#程式片段 應寫入何種指令方能正常運作? (A)(Int)W (B)(ToInt)W (C)Convert.Int(W) (D)Convert.ToInt32(W)
4. 請問下列程式輸出為何? (A)12 (B)21 (C)11 (D)22
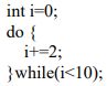
5. 以下的程式中 do…while 迴圈會執行幾次? (A)3 (B)4 (C)5 (D)6
6. 請問下列程式輸出為何? (A)4 (B)8 (C)3 (D)1
8. 請問下列程式輸出為何? (A)2 (B)5 (C)6 (D)9