所屬科目:技檢◆板金-甲級
11. 下圖符號係表示(A) (B) (C) (D) 。
22. 銲接輔助符號中 ,係表示(A)現場全周銲接(B)現場銲接(C)全周銲接(D)銲接道表面為凹入。
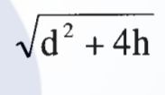
37. 抽製開口直徑為 d,高度為 h,之球面圓盤,其毛料直徑約為(A) (B) (C) (D) 。
57. 下圖符號中"4"表示(A)銲接深度(B)斷續銲之距離(C)斷續銲之數目(D)斷續銲之長度。
70. 下圖的 ab 線段通過第幾象限?(A)二(B)四(C)一(D)三。
77. 如左圖為前視圖,請選出正確之右側視圖(A) (B) (C) (D) 。
78. 如下圖所示,有關 ab 線段,下列敘述哪些正確?(A)ab 是在第三象限(B)ab 與水平投影面垂直(C)ab 與直立投影面垂直(D)ab 是在第一象限。