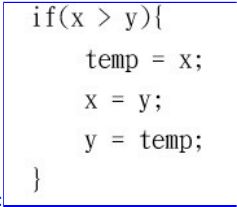
49.有一C程式片段(如下圖)能夠執行,下列空白處填入何程式碼會產生 錯誤 ?
(A)int data[3][3] = { {11 , 12 , 13}, {21, 22, 23}, {31, 32, 33} }; (B)int data[3][3] = { 11 , 12 , 13, 21, 22, 23, 31, 32, 33 }; (C)int data[ ][3] = { {11 , 12 , 13}, {21, 22, 23}, {31, 32, 33} }; (D)int data[3][ ] = { {11 , 12 , 13}, {21, 22, 23}, {31, 32, 33} };