所屬科目:中山◆資工◆作業系統
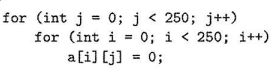
(a)
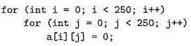
(b)
4. What would be the output of the following C program that uses the Pthreads API? (Note that the line numbers are for reference only.)