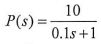
(a) A Nyquist path is shown in Fig. 1.

Sketch the Nyquist plot of this system for K >0 in accordance with fig. 1, and indicate clearly I. the
intersection(s) of the Nyquist plot with real and imaginary axes if any II. each mapping of point
a:(0+jω,ω→∞⁺),6:(0+jω,ω→0⁺),c:(
,φ→0⁺)and d:(0-jω,ω→∞⁺) in your
plot.