所屬科目:台大◆企管◆統計學(K)
3.(6分)台大健身中心欲調查各項運動器材男女生的使用率是否不同?由體育館最新記錄表明,以下設備使用情況。在顯著性水準為0.05時,運動器材的選擇與性別是否存在關係?(請寫出虛無假設、對假、统計量、臨界值及結論)(6%) 註:
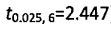
(2)若某年發生了共70 次森林大火,所燒毀面積95%的信賴區間為何?(8%) (註)