所屬科目:台大◆資工◆數學(含線性代數、離散數學)
1.(5%) Consider
x1+x2+⋯+xn=r,
where a≤xi≤sb for I ≤i≤n. What is the generating function for the
eger solutions to the above equation (where the desired count appe
coefficient of x', where r=0,1,...)?
3. (10%) Consider
x1+x2+⋯+xn<r,
where xi≥0 for 1 ≤i≤n. What is its number of nonnegative integer
when n=4 and r=8?
4. (10%) Derive the solution for an that satisfies the recurrence equation
5. (10%) The generating function in partial fraction decomposition for the above recurrence equation is___________ .(Note that expressions like are not partial fraction decompositions.)
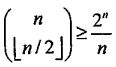
6. (10%) Prove the following inequality: where 2≤n.
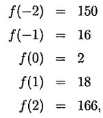
7. (10%) If the polynomial function f(x) = ax4 + bx3+ cx2 + dx+ e satisfies, then a,6, c, d,e are______,_______ ,_________,________,_________, respectively.
8.(10%) The nullities of the matrices BBT - λ I for λ = 0,1,2,3,4 are______,_______ ,_________,________,_________, respectively.
9.(10%) Let Let The numbers of elements -2, -1,0, 1, 2 in a matrix B with are______,_______ ,_________,________,_________, respectively.
10. (10%) Ifthen the numbers of elements -2, -1 0, 1, 2 in a matrix B with
are______,_______ ,_________,________,_________, respectively.
11. (10%) The numbers of elements 0, 1, 2, 3, 4 in a Jordan normal form of the matrixare______,_______ ,_________,________,_________, respectively.