所屬科目:台大◆電機◆工程數學(C)(含微分方程、線性代數)
1. (5%) Which are the possible solutions of the differential equation =y2-9? (A) y=3 (B) y=-3 (C) (D)(E)
2. (5%) Which are the possible solutions of the differential equation ?(A)(B)(C) (D) (E)
4. (5%) Consider the equationwiththe boundary conditions y(0)=0.y(π)=π.Which statements are correct? (A) The particular solution is yP =-x. (B) The general solution is y=ex sinx+x. (C) There is a unique solution to this boundary-value problem. (D) This differential equation is homogencous. (E) None of the above.
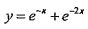
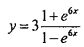
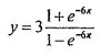
5. (5%) Which are the possible solutions of the differential equation ? (A) y+Inly-1l=x (B) 2y+In|y-1|=4x (C) 2y+1n|2y-1|=4x+4 (D)y2 =2x (E) y2=-2x+1
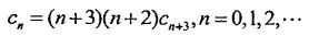
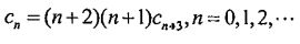
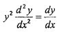
6. (5%) Assume.Which statements are always true?(A) c0=0 (B) c1=0 (C) C2=0 (D)(E)
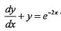
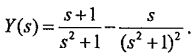
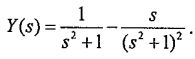
7. (5%) Consider the equation with the inial condition y(0)=1. Which satecmens about dt the function y(t) and its Laplace transform Y(s) are correct? (A) (B) (C)t sint (D) y(π)=0 (E) y(π)=-1
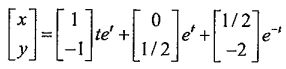
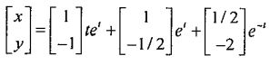
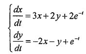
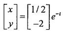
8. (5%) Which are the possible solutions of the given system?(A)(B)(C)(D)(E)
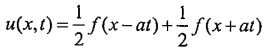
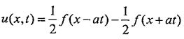
9. (5%) Consider the wave equation. Which are the possible solutions? (A) u(x,t)=f(x-at) (B) u(x,r)=f(x+at) (C) (D) (E) None of the above
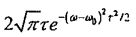
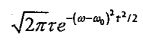
10. (5%) Evaluate the Fourier transform (A) (B) (C) (D) (E)
11. (5%) Find an equation involving g, h, and k that makes this augmented matrix correspond to a consistent system: (A) 2k+g+h =0 (B)k+2g+3h =0 (C) k+2g+h =0 (D) 3k+g+2h = 0 (E) 4k+h+2h = 0
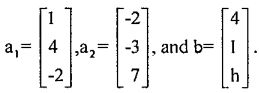
12. (5%) Let For what value(s) ofh is b in the plane spanned by al and a2? (A) 0 (B) -10 (C) 16 (D) -17 (E) 20
13. (5%) Determine the rank of the matrix in the following.(A)0 (B)1 (C)2 (E) 4 (D)3
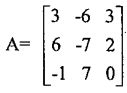
14. (5%) Matrix A can be written in the form A=LU, where L is m x m lower triangular matrix I's on the diagonal and U is an m x n echelon form of A. Such a factorization is called an LU factorization. Please find the L matrix for LU factorization of the following matrix A.
(A)(B)(C)(D)(E)
15. (5%) Find the determinant for the following matrix (A)-5 (B) 5 (C)1 (D)-1 (E) 0
16. (5%) Find the dimension of the subspace(A) 2 (B) 3 (C) 4 (D) 1 (E) 0
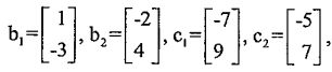
17Let and consider the bases for R2 given by B={b1,b2} and C={c1,c2}. Find the change-of-coordinates matrix from C to B. (A)(B)(C)(D)(E)
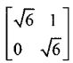
19. (5%) Find the singular values of the following matrix . (A) 0 (B) 1 (D) 3 (E) 4 (C) 2