所屬科目:台大◆電機◆工程數學(C)(含微分方程、線性代數)
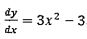
2. (5%) Which are the possible solutions of the differential equation, where y(0) = 0? (A) x=1 (B) x=-1 (C) y-x3-3x (D) (E)
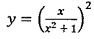
3. (5%) Which are the possible solutions of the differential equation (A) (B) (C)(D) (E)
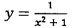
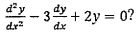
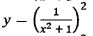
4. (5%) Which are the possible solutions of the differential equation. (A) (B) (C)(D) (E)
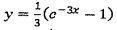
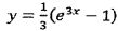
6. (5%) Which are the possible solutions of the differential equation (A) y=ex (B) y= sin(x)+cos(x) (C) (D) y=x+1 (E)
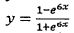
7. (5%) Which is the general solution of the differential equation (assume C1 and C2 are constants) (A) (B) (C)(D) (E)
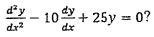
8. (5%) Which is the general solution of the differential equation (assume C and G, are constants) (A) (B) (C)(D) (E)
9. (5%) Which are the possible solutions of function f(t) for the Laplace Transform (A) f= cosh(πt) (B) f- sinh(πt) (C) (D) (E)
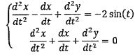
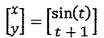
10. (5%) Which are the possible solutions of system of equations for x(t) and y(t), where y(0) = 1 and = 1? (A)(B) (C) (D) (E)