所屬科目:技師◆岩石力學與隧道工程與山坡地工程【含水土保持工程】
(一)莫爾-庫倫破壞準則(Mohr-Coulomb failure criterion):岩石之單壓強度和摩擦角Φ。(7 分)
(二)霍克-布朗破壞準則(Hoek-Brown failure criterion):岩石之單壓強度, 以及準則中的兩個強度參數值 m 和 s。(8 分)
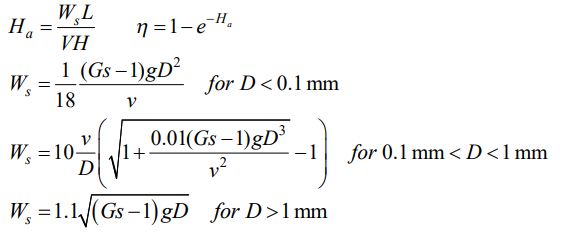
七、某一沉砂池,經現場量測得長度為 4 m,深度為 1.5 m,寬度為 2 m,進 入沉砂池之速度經現場量測得為 0.3 m/sec,泥砂粒徑約為 1.2 mm,泥砂 比重約為 2.65,試求此沉砂池對此泥砂粒徑之囚砂率為若干?(7 分) 提示: