所屬科目:水資源工程學
3.請說明拱壩(Arch dam)厚度如何決定?(10 分)並從拱壩設計之經濟角度證明,當θ = 133°34'時拱壩所用之混凝土材料為最少。(15 分)
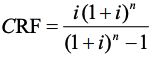
4.為滿足某地區之用水需求,工程師共提出 5 種水資源用水規劃方案,各方案相關之成本與效益如下表所示。若經濟分析年限為 50 年,並無殘值,設年利率為 5 %,請以益本比法(B / C)、淨效益法(B - C)、效益增加率與成本增加率(△B / △C )評析其最佳方案,(15 分)並說明需做那些合理假設。(10 分)(已知資本回收因子 )