阿摩線上測驗
登入
首頁
>
國際經濟學
> 109年 - 109 身心障礙特種考試_三等_經建行政:國際經濟學#86363
109年 - 109 身心障礙特種考試_三等_經建行政:國際經濟學#86363
科目:
國際經濟學 |
年份:
109年 |
選擇題數:
0 |
申論題數:
8
試卷資訊
所屬科目:
國際經濟學
選擇題 (0)
申論題 (8)
⑴如果 x 財貨的相對價格大於其機會成本,則本國應該專業化生產什麼? (10 分)
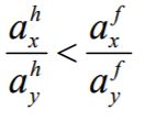
⑵若發生
,表示本國在那一種財貨的生產力比較高?(10 分)
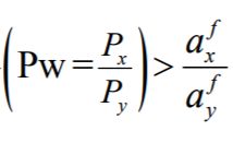
⑶當世界價格
,則本國與外國應該生產什麼?(10 分)
二、請由引力模型來說明為何臺灣與日本或臺灣與中國等鄰近國家的貿易量 相對其他國家比較大?(20 分)
三、何謂外匯存底?臺灣有豐富的外匯存底,能否提出部分外匯存底作為「0 到 6 歲國家養」的基金?(20 分)
⑴若 1 美元兌換新臺幣的匯率從 32 調為 30,請問新臺幣升值還貶值?升 貶值率是多少?(10 分)
⑵假設今年年初,一美元兌換 31 元新臺幣,且臺灣與美國的通貨膨脹率 分別為 1%與 2%。如果於年底時,匯率為一美元兌換 30 元新臺幣,試 問臺幣被高估還是低估?為什麼?(10 分)
⑶假定美國的實質利率比臺灣高出很多,而匯率是固定的,則兩國之間的 資金會流動嗎?(10 分)
相關試卷
114年 - 114 公務升官等考試_薦任_經建行政:國際經濟學#133054
114年 · #133054
114年 - 114 外交特種考試_三等_外交領事人員類科英文組一、外交領事人員類科法文組、外交領事人員類科德文組、外交領事人員類科日文組、外交領事人員類科西班牙文組、外交領事人員類科阿拉伯文組、外交領事人員類科義大利文組、外交領事人員類科葡萄牙文組:國際經濟#130941
114年 · #130941
114年 - 114 外交特種考試_三等_外交領事人員類科英文組二:國際經濟(以英文命題及作答)#130924
114年 · #130924
114年 - 114 國際經濟商務特種考試_三等_國際經濟商務人員類科國際經貿法律組:國際經濟學(國際貿易理論及實務、國際金融理論)#130836
114年 · #130836
114年 - 114 國際經濟商務特種考試_三等_國際經濟商務人員類科英文組、國際經濟商務人員類科日文組、國際經濟商務人員類科韓文組:國際經濟學(國際貿易理論及實務、國際金融理論)#130831
114年 · #130831
114年 - 114 國家安全情報特種考試_三等_國際組(選試英文):國際經濟學(含國際經貿組織)#127690
114年 · #127690
113年 - 113 國際經濟商務特種考試_三等_國際經濟商務人員類科英文組:國際經濟學(國際貿易理論及實務、國際金融理論)#122677
113年 · #122677
113年 - 113 外交特種考試_三等_外交領事人員類科英文組一、外交領事人員類科法文組、外交領事人員類科德文組、外交領事人員類科日文組、外交領事人員類科西班牙文組、外交領事人員類科阿拉伯文組、外交領事人員類科韓文組、外交領事人員類科俄文組、外交領事人員類科義大利文組、外交領事人員類科土耳其文組、外交領事人員類科葡萄牙文組:國際經濟#122654
113年 · #122654
113年 - 113 外交特種考試_三等_外交領事人員類科英文組二:國際經濟(以英文命題及作答)#122650
113年 · #122650
113年 - 113 國家安全情報特種考試_三等_國際組(選試英文):國際經濟學(含國際經貿組織)#120435
113年 · #120435